Добавить в корзинуПозвонить
Найти в Дзене
alexunited

Об осмысленности и автоматизме

Говоря о том, что в кружке я стараюсь учить детей понимать, что они делают, я всегда привожу классический пример действия, которое для многих взрослых, далёких от математического образования, настолько автоматическое, что они ни сами не задумываются о его природе, ни от детей не требуют задуматься - чем, на самом деле, вредят ребёнку и портят нервы мне. Речь об элементарных алгебраических преобразованиях, возникающих при решении уравнений и неравенств, которые в массовом сознании отложились под кодовым названием "перенос из одной части в другую". Хотя на самом деле, разумеется, такого действия нет. Предыстория Раньше я относительно спокойно произносил слова "перенесём из одной части в другую" на кружке, наивно полагая, что всю подноготную этого не вполне законного, но весьма удобного действия им в школе объяснили. Но со временем стал замечать, что дети как-то странно переносят (например, при делении меняют знак). И начал интересоваться, понимают ли они, что делают. И выяснил, что - нет
Оглавление

Говоря о том, что в кружке я стараюсь учить детей понимать, что они делают, я всегда привожу классический пример действия, которое для многих взрослых, далёких от математического образования, настолько автоматическое, что они ни сами не задумываются о его природе, ни от детей не требуют задуматься - чем, на самом деле, вредят ребёнку и портят нервы мне.

Речь об элементарных алгебраических преобразованиях, возникающих при решении уравнений и неравенств, которые в массовом сознании отложились под кодовым названием "перенос из одной части в другую". Хотя на самом деле, разумеется, такого действия нет.

Александр Сергеевич плохому не научит...
Александр Сергеевич плохому не научит...

Предыстория

Раньше я относительно спокойно произносил слова "перенесём из одной части в другую" на кружке, наивно полагая, что всю подноготную этого не вполне законного, но весьма удобного действия им в школе объяснили. Но со временем стал замечать, что дети как-то странно переносят (например, при делении меняют знак). И начал интересоваться, понимают ли они, что делают. И выяснил, что - нет.

И отсюда появляются такие перлы, что "ни в сказке сказать, ни пером описать". Причём на полном серьёзе, с отсылкой, что "нас так учили".

И тогда я решил бороться с автоматизмом, запретив говорить о любом "переносе", требуя понимания природы действия.

Примеры

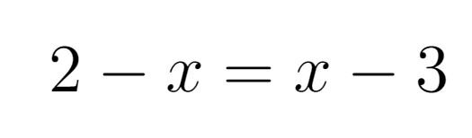
Рассмотрим линейное уравнение

По школьной программе - 6 класс, кружку 4-5 класса - в самый раз.
По школьной программе - 6 класс, кружку 4-5 класса - в самый раз.

Как его решает выпускник советской школы или первых лет двадцати существования российской? Ну да, "перенесём" икс слева направо (с изменением знака), а 3 - справа налево, получим, что удвоенный икс равен пяти, откуда икс равен двум с половиной.

Все действия на этом пути Вы, скорее всего, проделали автоматически, не задумавшись над их природой. Вам, если Вы хорошо учились в школе, и не пришло бы в голову, что тут нужно думать. Но Вам, скорее всего, давным-давно рассказали, что при переносе тройки мы, на самом деле, просто прибавили 3 к обеим частям равенства, а если к двум равным числам по 3 добавить, то равенство сохранится...

Ну то есть нечто подобное...
Ну то есть нечто подобное...

И перенос икса устроен так же: мы прибавляем к обеим частям равенства по икс, и равенство по-прежнему сохраняется:

Как-то так
Как-то так

А дальше - тоже шаг, требующий осмысления. Как найти икс, зная удвоенное его значение? Надо разделить удвоенное значение на 2. Почему это так? Вероятно потому, что если равные числа разделить на 2, то и частные от этих делений окажутся равны. Логично?

А теперь представьте себе ребёнка, который не думает, но где-то слышал, что можно "переносить" из одной части в другую, при этом меняя знак. Знаете, какие чудеса могут у него получиться?

Как минимум вот такие, помимо правильного.
Как минимум вот такие, помимо правильного.

Как объяснить ребёнку, почему это всё не так, если считать "перенос" разрешённым действием? Если кратко, то никак. Поэтому у меня все переносы запрещены, только честные арифметические действия, только хардкор!

#математика #математическая задача #математический кружок

P. S.

As you know, the important thing is to understand what you're doing,
Rather than to get the right answer...

Том Лерер знает, что важнее понимать, что ты делаешь, чем получить правильный ответ. Именно этим грешили многие горе-реформаторы математического образования - и американские, на которых написал пародию коллега Лерер, и наши отечественные во главе с академиком Колмогоровым. Но на самом деле понимать, что ты делаешь, важно для того, чтобы получить правильный ответ.

Абсолютная строгость в школе не нужна, но сводить всё к алгоритмам, которые работают, непонятно почему, нельзя. Физики не дадут соврать.