Добавить в корзинуПозвонить
Найти в Дзене

Основное свойство дроби. Решения уравнений 202 (2) и 202 (3) из учебника А. Г. Мерзляк

Уважаемые мамы и папы, дедушки и бабушки! Предлагаю решения уравнений 202 (2) и 202 (3) из 7-го издания учебника по математике для 6-го класса авторов А. Г. Мерзляка, В. Б. Полонского и М. С. Якира под редакцией. В. Е Подольского. Уравнение 202 (2): Решение: Как и в случае с решением уравнения 202 (1), нам поможет основное свойство дроби (§ 7): Если числитель и знаменатель дроби умножить на одно и то же натуральное число, то получится равная ей дробь. Число 92 в четыре раза больше числа 23 (в шестом классе ученики это уже знают), поэтому умножив числитель и знаменатель левой дроби на 4 мы получим равную ей дробь, но со знаменателем 92. Ответ: X = 14. Уравнение 202 (3): Решение: Из таблицы умножения школьники знают, что число 4 в девять раз меньше числа 36. Поэтому умножив числитель и знаменатель левой дроби на 9, мы получим равную ей дробь, но с числителем 36. Ответ: X = 6.
Оглавление

Уважаемые мамы и папы, дедушки и бабушки!

Предлагаю решения уравнений 202 (2) и 202 (3) из 7-го издания учебника по математике для 6-го класса авторов А. Г. Мерзляка, В. Б. Полонского и М. С. Якира под редакцией. В. Е Подольского.

Уравнение 202 (2):

Решение:

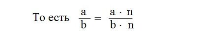
Как и в случае с решением уравнения 202 (1), нам поможет основное свойство дроби (§ 7):

Если числитель и знаменатель дроби умножить на одно и то же натуральное число, то получится равная ей дробь.

-2

Число 92 в четыре раза больше числа 23 (в шестом классе ученики это уже знают), поэтому умножив числитель и знаменатель левой дроби на 4 мы получим равную ей дробь, но со знаменателем 92.

-3

Ответ: X = 14.

Уравнение 202 (3):

-4

Решение:

Из таблицы умножения школьники знают, что число 4 в девять раз меньше числа 36. Поэтому умножив числитель и знаменатель левой дроби на 9, мы получим равную ей дробь, но с числителем 36.

-5

Ответ: X = 6.