Найти в Дзене

Сокращение дробей на примере решения уравнения 229 из учебника А. Г. Мерзляк

Уважаемые мамы и папы, дедушки и бабушки! Предлагаю решение уравнения 229 из 7-го издания учебника по математике для 6-го класса авторов А. Г. Мерзляка, В. Б. Полонского и М. С. Якира под редакцией. В. Е Подольского. Условие уравнения: Решение: Для решения уравнения нам нужно вспомнить, что же такое сокращение дробей. В §8 учебника написано, что сокращением дробей называют деление числителя и знаменателя на их общий делитель. Кроме того из §7 шестиклассники знают основное свойство дроби: Если числитель и знаменатель дроби умножить на одно и то же натуральное число, то получится равная ей дробь. Из чего следует вывод, что если числитель и знаменатель дроби разделить на их общий делитель, то получится равная ей дробь. Следовательно: Ответ: a = 12 и b = 7.
Оглавление

Уважаемые мамы и папы, дедушки и бабушки!

Предлагаю решение уравнения 229 из 7-го издания учебника по математике для 6-го класса авторов А. Г. Мерзляка, В. Б. Полонского и М. С. Якира под редакцией. В. Е Подольского.

Условие уравнения:

Решение:

Для решения уравнения нам нужно вспомнить, что же такое сокращение дробей.

В §8 учебника написано, что сокращением дробей называют деление числителя и знаменателя на их общий делитель.

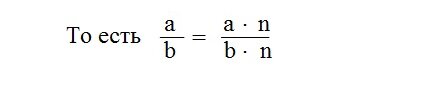
Кроме того из §7 шестиклассники знают основное свойство дроби:

Если числитель и знаменатель дроби умножить на одно и то же натуральное число, то получится равная ей дробь.

-2

Из чего следует вывод, что если числитель и знаменатель дроби разделить на их общий делитель, то получится равная ей дробь.

-3
-4

Следовательно:

-5

Ответ: a = 12 и b = 7.