Найти в Дзене
Заметки программиста

Решение нелинейных уравнений f(x)=0 методом Ньютона (касательных)

Сравнительно малое число уравнений можно решить аналитически. Математики доказали, что общую формулу нахождения корней можно найти только для алгебраических уравнений до четвертой степени включительно, причем решения уравнение 3-й и 4-й степени довольно громоздкое и приходится иметь дело с комплексными числами, (для уравнений 3-й степени даже в том случае, если все три корня являются действительными числами). Алгебраические уравнения, начиная с 5-той степени и трансцендентные уравнения не имеют общего решения. Конечно для некоторых уравнений можно найти точные решения, но очень узок круг таких уравнений. Но на помощь для решения таких уравнений приходят разнообразные методы приближенного нахождения корней уравнений, например, деления отрезков по полам, метод хорд, метод Ньютона. В этой статье речь пойдет, пожалуй, о самом универсальным методе решения – методе Ньютона или второе его название метод касательных, который позволяет приближенно решать уравнения вида f(x)=0. Метод Ньютона выт

Сравнительно малое число уравнений можно решить аналитически. Математики доказали, что общую формулу нахождения корней можно найти только для алгебраических уравнений до четвертой степени включительно, причем решения уравнение 3-й и 4-й степени довольно громоздкое и приходится иметь дело с комплексными числами, (для уравнений 3-й степени даже в том случае, если все три корня являются действительными числами). Алгебраические уравнения, начиная с 5-той степени и трансцендентные уравнения не имеют общего решения. Конечно для некоторых уравнений можно найти точные решения, но очень узок круг таких уравнений.

Но на помощь для решения таких уравнений приходят разнообразные методы приближенного нахождения корней уравнений, например, деления отрезков по полам, метод хорд, метод Ньютона.

В этой статье речь пойдет, пожалуй, о самом универсальным методе решения – методе Ньютона или второе его название метод касательных, который позволяет приближенно решать уравнения вида f(x)=0.

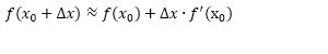
Метод Ньютона вытекает из известной в математическом анализе формуле приближенного вычисления функции f(x) одной переменной при малом приращении аргумента в окрестности точки x₀:

-2

где Δx=x-x₀ - приращение аргумента в окрестности точки x₀

Пусть x₀ - точное решение уравнения f(x)=0, то есть значение функции при x=x₀ равно 0 (f(x₀)=0). А приближенное значения этого корня равно x=x₀+Δx. Следовательно точный корень можно записать так x₀=x-Δx, и формула приближенного вычисления функции будет иметь вид:

-3

или

-4

Так как мы ищем приближенное значения корня, то в последнем выражении мы можем заменить знак приближенного равенства на точное. Откуда очередное приближение x₀ будет равно:

-5

Последняя формула и является формулой метода Ньютона приближенного решения уравнения вида f(x)=0 Чтобы получить более точное значения корня, надо последовательно применять метод Ньютона, беря приближенный корень, полученный при предыдущем вычислений по данной формулой. Поэтому метод Ньютона можно записать в следующем виде:

-6

Графическая интерпретация метода Ньютона показан на рисунке.

Графическое интерпретация метода Ньютона (касательных)
Графическое интерпретация метода Ньютона (касательных)

Последнее выражения описывает итерационный процесс нахождения приближенного корня уравнения вида f(x)=0 по методу Ньютона. Фактически, мы преобразовали наше исходное уравнение в итерационный вид x=F(x). В нашем случае функция F(x) имеет следующий вид:

-8

А достаточное условие сходимости итерационного процесса является следующее:

-9

В случае метода Ньютона производная от функции F(x) будет следующая:

-10

Таким образом условия сходимости метода Ньютона (касательных) будет следующее:

-11

Данное условие является достаточным, но необязательным, то есть, когда оно соблюдается то метод сходится точно, а если не соблюдается, то метод может сходиться, а может расходится. В этом случае нужно произвести дополнительные исследования, учитывающие особенности исходное уравнения.

#метод Ньютона #метод касательных #нелинейные уравнения #нелинейное уравнение