Добавить в корзинуПозвонить
Найти в Дзене
МАТЕМАТИКА ЕГЭ

Ларин 389

Всем привет Сегодня мы с вами разберем 389 вариант ларина и посмотрим, что он может нам предложить. В группе вк я загружу сам вариант, а пока приглашаю на разбор https://vk.com/club211960523 Задача 1 Нас сразу же встречает достаточно инверсное задание. Для его решения нам необходимо перейти к основанию «2» и в таком случае корни уйдут сами собой, а дальше дело за малым Задача 2 События «зелёный кубик» и «5 очков на зелёном кубике» являются независимыми событиями и поэтому вероятность этого события будет равняться произведению вероятностей каждого отдельного события Задача 3 Т.к. правильный шестиугольник состоит из 6 правильных треугольников, то радиус окружности будет являться высотой данного треугольника. А формулу для высоты через сторону в правильном треугольнике мы с вами знаем Задача 4 Если со знаменателем все достаточно просто (это первая четверть), то с числителем все сложнее. Для его упрощения выделим целую часть и сразу же увидим, что это синус 30 градусов. Дальше дело за ма
Оглавление

Всем привет

Сегодня мы с вами разберем 389 вариант ларина и посмотрим, что он может нам предложить. В группе вк я загружу сам вариант, а пока приглашаю на разбор

https://vk.com/club211960523

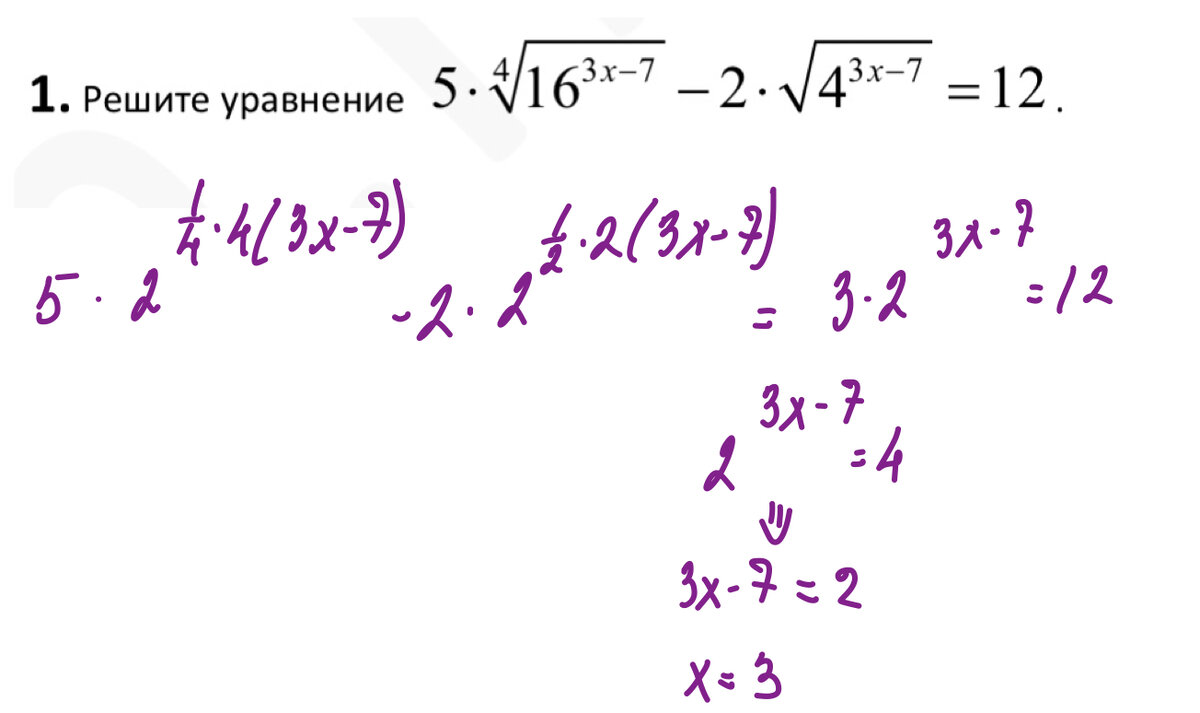
Задача 1

Нас сразу же встречает достаточно инверсное задание. Для его решения нам необходимо перейти к основанию «2» и в таком случае корни уйдут сами собой, а дальше дело за малым

Задача 2

-2

События «зелёный кубик» и «5 очков на зелёном кубике» являются независимыми событиями и поэтому вероятность этого события будет равняться произведению вероятностей каждого отдельного события

Задача 3

-3

Т.к. правильный шестиугольник состоит из 6 правильных треугольников, то радиус окружности будет являться высотой данного треугольника. А формулу для высоты через сторону в правильном треугольнике мы с вами знаем

Задача 4

-4

Если со знаменателем все достаточно просто (это первая четверть), то с числителем все сложнее. Для его упрощения выделим целую часть и сразу же увидим, что это синус 30 градусов. Дальше дело за малым

Задача 5

-5

Плоскостью является обычный прямоугольник. Через теорему Пифагора находим наибольшую сторону прямоугольника и дальше уже площадь

Задача 6

-6

В силу того, что прямая является касательной, то к неё и параболы будет лишь 1 точка пересечения. В таком случае, приравняв уравнения, мы получаем квадратное уравнение, которое должно иметь 1 решения (т.к одна точка пересечения). Следовательно, дискриминант должен равняться нулю

Задача 7

-7

Данную задачу оставлю без пояснений т.к. они к ней не требуются в силу ее очевидности

Задача 8

-8
-9

А вот это задача разительно выделяется своей сложностью в силу того, что мы имеем 3 переменные - число рабочих, время работы и их производительность. Т.к. мы имеем 3 неизвестные, то нам требуется составить 3 различных уравнения для их отыскания. В итоге мы получим достаточно сложную систему. Далее раскрываем скобки и делаем подстановку через первое уравнение и так же выражаем «z» и получаем систему уже с двумя неизвестными. Далее уже остаётся механическое решение уравнения, но я вам советую провести его самостоятельно и свериться с моим решением

Задача 9

-10

А это уже не задача, а подарок судьбы. Если возьмём точку «А», то тангенс нуля равен нулю. Тогда у нас останется искомый коэффициент

Задача 10

-11

Эта задача, как и все подобные, решается очень хорошо через дерево. Т.е. вероятность целой продукции 0,95 и из них 0,75 первый сорт. Т.к. события независимые, то мы находим их произведение

Задача 11

-12

Находим производную и получаем, что точка минимума не входит в искомый промежуток. Следовательно, функция будет возрастать на всем промежутке до х=0 т.е. функция будет принимать наименьшее значение в самой удаленной точке т.е. х=-2

Задача 12

-13

Первым делом выносим 3 и немного упрощаем уравнение. Далее упрощаем степень правой части и по итогу приходим к квадратному уравнению. Далее при отборе корней держим в коме, что нам надо вернуться на 1.5 окружности назад и тогда точки появляются сами собой

Задача 13

-14
  1. Сложности начинаются с самого начала и если сразу же ринуться рисовать, то скорее всего ничего не выйдет. Для правильного рисунка нам необходимо вынести вершину за плоскость основания и тогда все будет куда лучше. Теперь перейдём в плоскость основания и сделаем отдельную зарисовку. В силу того, что сумма углов основания равна 90 градусов, то через параллельные прямые (основания трапеций) мы получим, что угол при вершине «К» равняется 90 градусов. В таком случае прямые DK и AK пересекаются под углом 90 градусов, а т.к. это перпендикуляры плоскостей (DPK) и (APK) проведённые к линии пересечения плоскостей, то это будет угол между ними. Следовательно, угол между (PAB) и (DPC) равняется 90 градусов
  2. Для отыскания объема нам не хватает площади основания (высота уже дана). Для этого так же пользуемся отдельно зарисованным основание и через подобие треугольников (благодаря параллельности) находим катеты

Задача 14

-15

Т.к. мы имеем дело с логарифмом, то сразу же можем отметить ОДЗ (благо оно находится достаточно просто). Далее раскрываем модуль и решаем 2 мини уравнения для разного раскрытия модуля. Не забываем про ОДЗ и получаем наш ответ. Задача достаточно простая и вся хитрость кроется именно в раскрытии модуля

Задача 15

-16
-17

Данная задача не сильно отличается от стандартной задачи на кредит. Единственное отличие в том, что в зависимости от оставшегося долга проценты будут разниться и из-за этого нам требуется составить не 1 цельную таблицу, а разбить ее на 2 составляющие с разными процентами. По условию выходит, что в течение 13 лет процент будет 8%, а после уже неизвестный процент (переобозначим через k). Далее, в силу того, что выплата будет стабильно уменьшаться на одно и то же число (можете проверить самостоятельно) нам достаточно записать 2 первых выплаты и дальше мы можешь записать общую формулу для выплат в определённый год. В первом и втором случае все делается по аналогии. В итоге мы получаем с вами данную таблицу и можем записать суммарную выплату, которая будет складываться из каждой отдельной выплаты в каждый год. Таким образом мы получаем 2 арифметические прогрессии (за первые 13 лет с процентом 8 и последние 12 лет с процентом r). Далее все это суммируем и парой алгебраических преобразований получаем k, а после уже находим искомый процент r

Задача 16

-18
-19
  1. Для доказательства первого пункта сделаем достроена и проведём касательную ко второй окружности PN. Если мы докажем, что получившийся четырёхугольник является квадратом, то линия AN будет диагональю и центры окружности будут лежать на ней. Мы знаем одну из сторон фигуры, далее докажем, что вторая будет ей равняться. Для этого достроим прямоугольный треугольник через центры окружностей. Если катеты этого треугольника будут равными и будут равняться три корня из 2 делённое на 2, то это квадрат (т.к. сумма радиусов уже равняется 3). OK мы знаем, гипотенузу знаем, находим оставшийся катет и получаем, что он равен OK. Т.е. мы получаем, что фигура APND- квадрат. Следовательно, AN диагональ и биссектриса прямого угла
  2. Для отыскания площади нам необходимо знать длину основания ML и высоту треугольника, опущенную к диагонали. Для этого достроим равнобедренный прямоугольный треугольник АМВ и найдём АМ. Далее распишем диагональ AN через ее составляющие и выразим искомое основание ML. Катет NL найдём с помощью радиуса меньшей окружности

Так, основание нашли. Далее осталась высота и для этого продолжим диагональ AN до пересечения с ВС. В итоге получим так же прямоугольный треугольник и проведём в нем высоту. Благодаря тому, что все треугольники равнобедренные, мы с легкостью находим высоту. А далее просто считаем площадь через стандартную формулу

Задача 17

-20

Данная задача куда проще чем кажется на первый взгляд. Под корнями у нас находится расстояние между точками с координатами (5х;5х) и (-1;-2) и между аналогичной другой парой. Сама точка (5х;5х) при любом «х» находится на пунктирной линии т.е.она всегда будет находиться между точками (-1;-2) и (-7;6). В таком случае наименьшим расстоянием будет прямая т.е. а=10

Задача 18

-21
-22

А) Последняя задача встречает нас графами. Для начала разберёмся с тем, какие именно вершины будут значимыми, а какие нет. На первом рисунке мы видим, что краевые вершины будут незначимыми (кружочек), а центральные уже значимыми (квадрат) т.к. при их удалении мы разделяем весь граф на несвязные составляющие

Теперь давайте свернём все вершины в один клубок, в котором все вершины будут попарно связаны. В таком случае все вершины, находящиеся в этом клубке будут незначимыми т.к. при ее удалении у нас пропадёт лишь 1 вершины, но при этом останутся ещё другие пути связи т.е. связь сохранится и мы все ещё сможем попасть из каждой вершины в каждую. Но если мы расположим в клубке 298 вершин, а две вытащим на периферию, то вершины, в которым они присоединены, будут значимыми т.к. при их удалении мы не сможем попасть в периферийные вершины

Ответ: Да

Б) Если мы в первой схеме уберём связь между значимыми вершинами, то при удалении любой незначимой вершины связь между каждой из оставшихся вершин сохранится. Таким образом у нас может быть ситуация, в которой значимые вершины соединены только с незначимыми

Ответ: Да

В) Если мы вытянем все наши вершины в змейку, то сразу получаем, что у нас 298 значимых вершин. Теперь давайте докажем, что у нас будет минимум 2 незначимых (т.е. значимых не может быть более 298). Для этого давайте свернём все в клубок и обозначим 2 вершины А и В и скажем, что расстояние между ними будет наибольшее и предположим, что они значимые. В таком случае убрав одну из этих вершин мы разбиваем весь граф на отрезанные друг от друга составляющие. Но в таком случае вершины А и В не самые удаленные друг от друга т.е. мы получаем противоречие. В таком случае мы получаем, что А и В должны быть незначимыми и меньше двух их быть не может т.к. в таком случае мы получим разбиение всего графа

Ответ: 298 значимых вершин