Найти в Дзене
Стив Май

Научение и переучивание

Вот я много пишу, что в школе есть проблема - дети сначала не научаются чему-то, или научаются неправильно (ну, тому же умножению, например), потом это неумение тянется и - бац! - в восьмом классе выясняется, что ему ОГЭ сдавать, а он умножить не может, не перевернув тетрадку. Я давал более или менее универсальный рецепт по этому поводу. Нужно иметь под рукой комплекты заданий, чтобы их вовремя подсунуть ребёнку. Чтобы выполняя их, ученик научился тому, что пропустил. Но вот о чём я не сказал тогда, и не заикался раньше. Есть два процесса - научение и переучивание. Если ребёнок не знает, то учить его приходится одним способом, а если знает, но неправильно, то приходится совершенно другим способом переучивать. Базовые вещи, конечно, должны быть одинаковыми, но подход - разный. Переучивание Если при научении можно давать задания практически любого плана, то при переучивании нужно давать такие задания, которые не позволят ребёнку скатиться обратно в неправильное. И вот это второе - уж
Оглавление

Вот я много пишу, что в школе есть проблема - дети сначала не научаются чему-то, или научаются неправильно (ну, тому же умножению, например), потом это неумение тянется и - бац! - в восьмом классе выясняется, что ему ОГЭ сдавать, а он умножить не может, не перевернув тетрадку.

Я давал более или менее универсальный рецепт по этому поводу. Нужно иметь под рукой комплекты заданий, чтобы их вовремя подсунуть ребёнку. Чтобы выполняя их, ученик научился тому, что пропустил.

Но вот о чём я не сказал тогда, и не заикался раньше.

Есть два процесса - научение и переучивание. Если ребёнок не знает, то учить его приходится одним способом, а если знает, но неправильно, то приходится совершенно другим способом переучивать. Базовые вещи, конечно, должны быть одинаковыми, но подход - разный.

Переучивание

Если при научении можно давать задания практически любого плана, то при переучивании нужно давать такие задания, которые не позволят ребёнку скатиться обратно в неправильное. И вот это второе - уже достаточно сложное. Особенно, если ребёнок - отличник. Он же выполнял раньше задания из учебника, хоть и научен был неправильно. Значит, его неправильный подход давал положительный результат раньше.

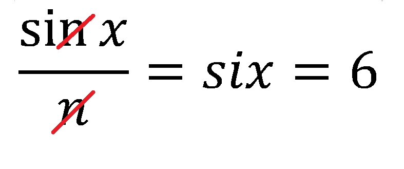
Поясню на примере. Вот смотрите, как с сокращением дробей. В подавляющем большинстве случаев, зачёркивание одинакового в числителе и знаменателе приводит к верному ответу. Более того, иногда бывает и такое:

А ведь верно!
А ведь верно!

Но это ошибка. Так делать нельзя, потому что сокращение - суть применение основного свойства дроби, а не зачёркивание, и в старших классах возникает:

Сократил...
Сократил...

Так вот, в этом случае, нужно постоянно следить, чтобы зачёркивание всегда приводило к ошибке, настолько явной, что пропустить нельзя никак. Чтобы у ребёнка не было возможности даже попытаться действовать "по-старому". Более того, после такого переучивания, придётся ещё постоянно следить, чтобы не было рецидивов.

И при переучивании нужно, как известно, в 10 раз больше повторений, чем при научении. Поэтому отличников переучить... Я бы не стал браться.

Научение

А при научении в первый раз - проблемы такой не возникает, там что первым увидел, то и будет использовать. Синдром гусёнка, что называется.

Но тут может возникнуть иная проблема. Разные темы проходят в разных классах. И если так получилось, что ребёнок тему проскользнул, и надо его учить с нуля, но парой лет старше, то ему нужны уже другие задания. По возрасту, так сказать. И одно дело впервые учить сокращать дроби пятиклассника, а совсем другое - восьмиклассника. У них слишком разные восприятия мира, поэтому и задания должны быть... Не то, чтобы слишком другие, но как минимум количественно должны отличаться. Скажем, пятикласснику нужно полсотни раз сократить дробь, чтобы усвоить правильный подход, а восьмикласснику уже нужно всего десяток.

Это всё приводит к тому, что учителю часто приходится иметь под рукой не только задания для научения, но и для переучивания, и для научения с опозданием.