Добавить в корзинуПозвонить
Найти в Дзене

Задача простые потоки

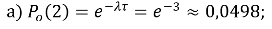
Ex. На ПК поступают задания с интенсивностью λ = 1,5 заданий в секунду (поток простейший). Найти вероятность того, что за 2 секунды: а) не поступит ни одного задания б) поступит одно задание в) хотя бы 1 задание Решение: λ = 1,5 з/с => единица времени 1 секунда, тогда τ = 2 сек и λτ=1,5*2=3

Ex. На ПК поступают задания с интенсивностью λ = 1,5 заданий в секунду (поток простейший).

Найти вероятность того, что за 2 секунды:

а) не поступит ни одного задания

б) поступит одно задание

в) хотя бы 1 задание

Решение:

λ = 1,5 з/с => единица времени 1 секунда, тогда τ = 2 сек и λτ=1,5*2=3

-2
-3