Найти в Дзене
Математика не для всех

Хитрость, которая позволяет решить систему уравнений. Её помнят только студенты-математики

Приветствую Вас, уважаемые Читатели! Сегодня я хочу рассказать про один метод решения простейших систем линейных уравнений буквально на пальцах. Конечно, люди знающие, за секунду определят откуда растут его "корни", но всем остальным будет интересно. Итак, поехали! Пусть имеется система линейных уравнений: Я утверждаю, что это уравнение решается следующим образом: И, конечно, этот способ абсолютно универсальный! Попробуем рассмотреть, что же мы перемножали в числителе и знаменателе? А это уже составляющие знаменитой формулы Крамера, с помощью которой можно решать системы линейных уравнений и с большим количеством неизвестных. Вопрос только в вычислительной сложности! В принципе, если несколько раз отработать вычисления по этой методике, можно получить такой же уровень автоматизации, сравнимый, например, с применением теоремы Виета вместо формулы дискриминанта. С другой стороны, а точно ли это нужно?

Приветствую Вас, уважаемые Читатели! Сегодня я хочу рассказать про один метод решения простейших систем линейных уравнений буквально на пальцах. Конечно, люди знающие, за секунду определят откуда растут его "корни", но всем остальным будет интересно. Итак, поехали!

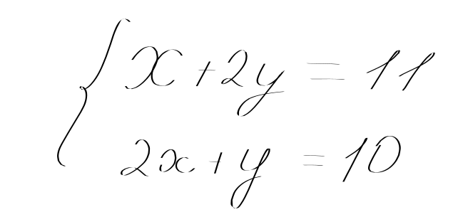
Пусть имеется система линейных уравнений:

Я утверждаю, что это уравнение решается следующим образом:

-2
И, конечно, этот способ абсолютно универсальный!

Попробуем рассмотреть, что же мы перемножали в числителе и знаменателе?

Δ - основной определитель системы уравнений, остальные называются вспомогательными
Δ - основной определитель системы уравнений, остальные называются вспомогательными

А это уже составляющие знаменитой формулы Крамера, с помощью которой можно решать системы линейных уравнений и с большим количеством неизвестных. Вопрос только в вычислительной сложности!

В принципе, если несколько раз отработать вычисления по этой методике, можно получить такой же уровень автоматизации, сравнимый, например, с применением теоремы Виета вместо формулы дискриминанта. С другой стороны, а точно ли это нужно?

  • Спасибо за внимание! TELEGRAM и Вконтакте- там я публикую не только интересные статьи, но и математический юмор и многое другое.