Добавить в корзинуПозвонить
Найти в Дзене
Ринас Хуснуллин

Хондроитин для укрепления суставов и связок

Хондроитин – вещество, которое состоит из N-ацетилгалактозамина и глюкуроновой кислоты и является неотъемлемой часть гиалинового хряща, ткани, которая смягчает суставы. Добавка хондроитина в составе с глюкозамином и коллагеном имеет уровень доказательности В (наличие крупных исследований в качестве доказательства эффективности) как средство для укрепления суставов и связок [1]. Хондроитин относится к средствам замедленного действия, то есть эффект проявляется медленно и длится после окончания их применения. Хондромодифицирующее действие означает, что средство предупреждает деградацию суставного хряща, иначе говоря, хондроитин обладает профилактическим средством для опорно-двигательной системы [1]. Хондроитин применяется в виде препарата хондроитинсульфат (ХС), в таком же виде он находится в хрящевой ткани [1]. Хондроитинсульфат способен подавлять активность металлопротеиназ, которые дестабилизируют структуру эластина и гиалуроновой кислот (важных структурных компонентов соединитель

Хондроитин – вещество, которое состоит из N-ацетилгалактозамина и глюкуроновой кислоты и является неотъемлемой часть гиалинового хряща, ткани, которая смягчает суставы.

Добавка хондроитина в составе с глюкозамином и коллагеном имеет уровень доказательности В (наличие крупных исследований в качестве доказательства эффективности) как средство для укрепления суставов и связок [1].

Хондроитин относится к средствам замедленного действия, то есть эффект проявляется медленно и длится после окончания их применения. Хондромодифицирующее действие означает, что средство предупреждает деградацию суставного хряща, иначе говоря, хондроитин обладает профилактическим средством для опорно-двигательной системы [1].

Хондроитин применяется в виде препарата хондроитинсульфат (ХС), в таком же виде он находится в хрящевой ткани [1].

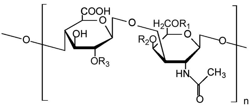
Рисунок 1. Химическая структура одного звена цепи хондроитинсульфата (источник: en.wikipedia.org)
Рисунок 1. Химическая структура одного звена цепи хондроитинсульфата (источник: en.wikipedia.org)

Хондроитинсульфат способен подавлять активность металлопротеиназ, которые дестабилизируют структуру эластина и гиалуроновой кислот (важных структурных компонентов соединительной ткани). Хондроитинсульфат стимулирует процессы регенерации и замедляет дегенерацию хрящевой ткани, нормализует продукцию суставной жидкости, улучшает её реологические свойства [1].

ХС поддерживает упругость и влагоудерживающие свойства хряща. ХС содержится в синовиальной жидкости, обеспечивая её физико-химические свойства – амортизационные, что создает условия для смягчения ударов при интенсивных физических воздействиях, повышает прочность соединительной ткани. И именно данное свойство ХС, по моему мнению, интересно с точки зрения спортивной нутрициологии [1].

В качестве безопасной и эффективной дозировки ХС рекомендуется 600 мг/сут в один приём [1]. Но большинство исследований говорят об эффективности нормой в 800-1200 мг/сут перорально [2]

Пищевыми источниками хондроитина являются блюда, содержащие куски мяса с соединительной тканью: костные бульоны, тушёные блюда, супы и т.д.

Список литературы:

  1. Дмитриев А.В., Гунина Л.М. Д53 Спортивная нутрициология. – М.: Спорт, 2020. – 640 с.
  2. https://www.healthline.com/nutrition/chondroitin#recommended-dosage