Добавить в корзинуПозвонить
Найти в Дзене
МАТЕМАТИКА ЕГЭ

Тригонометрия на ДВИ/2

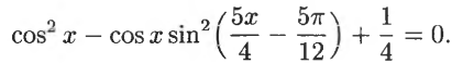
Всем привет Ну что, продолжим наши похождения по экзаменам сильнейшего вуза России и разбора его задач В этот раз перед нами куда более сложная и интересная задача. 2014 год. МГУ. ДВИ. Математика Увидев задание, рекомендую отложить статью на время и попробовать свои силы, а уже потом возвращаться за объяснениями Ну что ж, начнем Прежде чем пускаться в веселые пляски с формулами давайте посмотрим более внимательно на представленное нам задание. Перед нами находится квадратное уравнение относительно косинуса. Т.е. мы можем применить общие способы решения таких задач и посчитать дискриминант. Тогда мы получим: Как мы помним с 8-го класса, КУ имеет решение только при дискриминанте большем или равном нулю. Но тут возникает проблема, максимальное значение синуса равно единице т.е. дискриминант равен 0 т.е. у нашего уравнения будет лишь одно решение с учетом того, что квадрат синуса равен единице: Так, отлично, пол задачи решено. Осталось лишь найти те корни, при которых синус так же будет о

Всем привет

Ну что, продолжим наши похождения по экзаменам сильнейшего вуза России и разбора его задач

В этот раз перед нами куда более сложная и интересная задача.

2014 год. МГУ. ДВИ. Математика

-2

Увидев задание, рекомендую отложить статью на время и попробовать свои силы, а уже потом возвращаться за объяснениями

Ну что ж, начнем

Прежде чем пускаться в веселые пляски с формулами давайте посмотрим более внимательно на представленное нам задание. Перед нами находится квадратное уравнение относительно косинуса. Т.е. мы можем применить общие способы решения таких задач и посчитать дискриминант. Тогда мы получим:

-3

Как мы помним с 8-го класса, КУ имеет решение только при дискриминанте большем или равном нулю. Но тут возникает проблема, максимальное значение синуса равно единице т.е. дискриминант равен 0 т.е. у нашего уравнения будет лишь одно решение с учетом того, что квадрат синуса равен единице:

-4

Так, отлично, пол задачи решено. Осталось лишь найти те корни, при которых синус так же будет обращаться в единицу. Для этого подставим оба найденных икса в аргумент синуса и посмотрим в каком случае и при каких условиях он будет обращаться в единицу

-5

Первым возьмем положительный Х. Тогда в аргументе сократятся пишки и мы получим зависимость от К. В таком случае синус в квадрате будет равняться единице при всех нечетных К (если К будет четным, то получим, что синус равен нулю) и тогда мы требуем от него выполнения нечетности

Теперь возьмем отрицательный Х и получим следующий результат

-6

Данный синус не может равняться единице в силу присутствия добавки в виде -5π/6

В таком случае мы получаем единственный вариант решения данного уравнения

-7

Вместо К мы подставляем условие нечетности, которые записали выше, и получаем наш ответ

Если подводить итоги, то данная задача не из тех, которые решаются в лоб массой вычислений и преобразований ибо они приведут в никуда. Но если немного приглядеться, то все становится куда проще и мы сразу же избавляемся от большого количества переменных

На этом на сегодня все
До скорых встреч