Добавить в корзинуПозвонить
Найти в Дзене
Александр Долгих

90% не могут решить эту задачу без алгебры и программирования. А прапрадеды могли

Вот задача, которую программист решит, написав с десяток строк когда, а ученик средней школы алгебраически. А вот если попросить решить эту задачу логически и арифметически, то спасует 90% людей с высшим образованием. Даже техническим. Может быть даже больше, у меня была слишком маленькая выборка. 12 человек несут 12 буханок хлеба. Каждый мужчина несёт по 2 буханки, каждая женщина — по половине буханки, а каждый ребёнок — по четверти. Сколько было мужчин, женщин и детей? Решение программиста Зачем думать самому, если можно заставить думать компьютер? Пишем программу из 12 строк на Basic (первое фото) и вуаля. Получаем табличку с вариантами решений (второе фото). Всего получается 12 вариантов переноса 12 буханок хлеба. Так как по условию у нас 12 человек, подходящий вариант всего один — догадайтесь по табличке какой именно. В приницпе, если написать ещё строку кода, можно даже ничего не анализировать, а сразу получить ответ, но это уж совсем неинтересно. Решение школьников Любой школьн
Оглавление

Вот задача, которую программист решит, написав с десяток строк когда, а ученик средней школы алгебраически. А вот если попросить решить эту задачу логически и арифметически, то спасует 90% людей с высшим образованием. Даже техническим. Может быть даже больше, у меня была слишком маленькая выборка.

12 человек несут 12 буханок хлеба. Каждый мужчина несёт по 2 буханки, каждая женщина — по половине буханки, а каждый ребёнок — по четверти. Сколько было мужчин, женщин и детей?

Решение программиста

Зачем думать самому, если можно заставить думать компьютер? Пишем программу из 12 строк на Basic (первое фото) и вуаля. Получаем табличку с вариантами решений (второе фото). Всего получается 12 вариантов переноса 12 буханок хлеба. Так как по условию у нас 12 человек, подходящий вариант всего один — догадайтесь по табличке какой именно.

В приницпе, если написать ещё строку кода, можно даже ничего не анализировать, а сразу получить ответ, но это уж совсем неинтересно.

Решение школьников

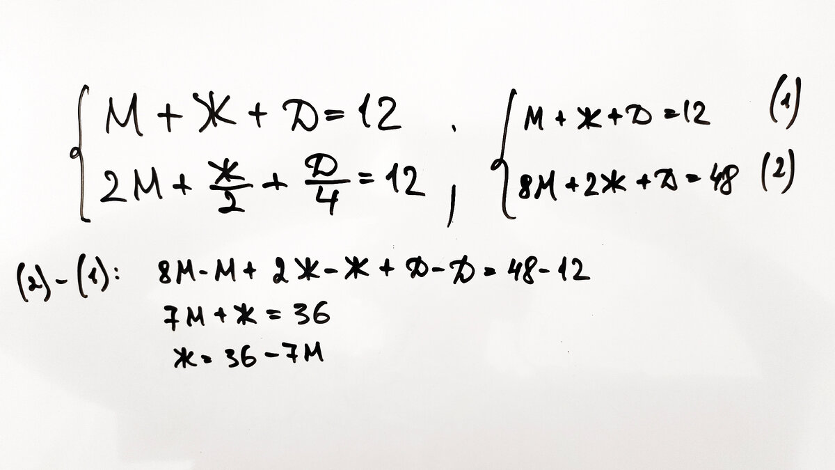
Любой школьник и взрослый, скорее всего, решит задачу простой системой уравнений. Смотрим на картинку.

Количество мужчин — М, женщин — Ж, детей — Д.
Количество мужчин — М, женщин — Ж, детей — Д.

Мы дошли до того, что Ж=36-7М. По условию задачи у нас есть как минимум один ребенок. То есть количество мужчин и женщин в сумме максимум 11. Учитывая этот факт можно составить ещё одну систему уравнений и придти к выводу, что М=5 — это единственное решение, которое подходит. Если М=6 или более, то решений нет.

-3

Решение прапрадедов

Ну а теперь самое интересное — решение от наших прапрадедов, которые решали эту задачку, не зная ни систем уравнений (тем более с тремя переменными), ни тем более языков программирования (да и на чем программировать-то?). Смекалка нам поможет!

Кадр из фильма "Дедушка моей мечты", 2014 год. Режиссёр: Александр Стриженов.
Кадр из фильма "Дедушка моей мечты", 2014 год. Режиссёр: Александр Стриженов.

Ключ к решению — дети. Так как каждый ребенок несет по четверти буханки, то, чтобы в итоге получилось 12 целых буханок, детей должно быть четное количество.

Если детей 2 или 6, то женщин должно быть нечетное количество. А если детей 4 или 8, то женщин будет четное число. Также надо иметь в виду, что сколько бы ни было мужчин, они в любом случае несут четное количество хлебов.

Кто это понял, тот и решил задачу. Теперь остается лишь составить табличку и поперебирать решения.

-5

Как видим большинство решений не подходит по тому, что либо количество мужчин получается нецелым, либо по тому, что количество людей получается больше или меньше 12. Так или иначе на 9 шаге мы приходим к правильному варианту: 6 детей, 1 женщина и 5 мужчин.

В приницпе можно попробовать продолжить табличку дальше, но весьма скоро мы убедимся в том, что других решений у задачи нет.

Лично для меня немного странно, почему такую задачу вообще придумали и поместили в старинный учебник, ведь условие не проходит проверку на реалистичность. Было бы куда логичнее, чтобы было 3 мужчины, 3 женщины и 6 детей (у каждой пары по два), а так получается задача подрывает институт семьи. Почему на 5 мужчин всего одна женщина?

Какой способ решения вам наиболее близок? Смогли решить логическим способом? Как вам задача? Если понравилась, ставьте лайк, подписывайтесь и вот вам ещё несколько похожих задач, где надо пользоваться смекалкой, а не алгеброй: