Найти в Дзене
Математика не для всех

Красивейший вывод школьных формул из тригонометрии. Такого Вам не показывали

Приветствую Вас, уважаемые Читатели! Сегодня я хочу показать Вам удивительно простой и красивый вывод школьной формулы из тригонометрии с использованием не совсем школьных приёмов. Почему не совсем? А потому, что в выводе будут использовать комплексные числа, которые, если мне не изменяет память, хоть и даются в ограниченном виде в школьной программе, но не входят в экзаменационные испытания. В любом случае прошу описать в комментариях ситуацию по этому поводу. Ну а мы поехали! Выводить будем формулы синуса и косинуса суммы, которые запомнить, на самом деле, практически невозможно! Итак, возьмем два комплексных числа, у которых модули равные единице: Что же представляют из себя углы α и β? Давайте покажу на отдельном рисунке: Теперь перемножим комплексные числа в алгебраической форме: И вспомним, что при умножении комплексных чисел их аргументы складываются, что даёт такую замечательную картину: Вот, собственно говоря, те самые формулы! Естественно, получить формулы для синуса и коси

Приветствую Вас, уважаемые Читатели! Сегодня я хочу показать Вам удивительно простой и красивый вывод школьной формулы из тригонометрии с использованием не совсем школьных приёмов.

Когда тебе в 8-м классе рассказывают про комплексные числа. Источник: https://mabiab.com/upload/photos/2021/07/QoqINmTyS7w7EusgjXSU_27_f5849f36133d1ef51bf23deb8d1107e5_image.jpg
Когда тебе в 8-м классе рассказывают про комплексные числа. Источник: https://mabiab.com/upload/photos/2021/07/QoqINmTyS7w7EusgjXSU_27_f5849f36133d1ef51bf23deb8d1107e5_image.jpg

Почему не совсем? А потому, что в выводе будут использовать комплексные числа, которые, если мне не изменяет память, хоть и даются в ограниченном виде в школьной программе, но не входят в экзаменационные испытания. В любом случае прошу описать в комментариях ситуацию по этому поводу. Ну а мы поехали!

Выводить будем формулы синуса и косинуса суммы, которые запомнить, на самом деле, практически невозможно!

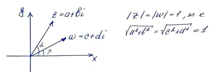
Итак, возьмем два комплексных числа, у которых модули равные единице:

Т.е. длина вектора, который соединяет начало координат с точкой на комплексной плоскости, равна 1
Т.е. длина вектора, который соединяет начало координат с точкой на комплексной плоскости, равна 1

Что же представляют из себя углы α и β? Давайте покажу на отдельном рисунке:

Вверх - мнимая ось. Так как мы в начале условились считать модули комплексных чисел, равными единице, получаем простые формулы для аргументов
Вверх - мнимая ось. Так как мы в начале условились считать модули комплексных чисел, равными единице, получаем простые формулы для аргументов

Теперь перемножим комплексные числа в алгебраической форме:

-4

И вспомним, что при умножении комплексных чисел их аргументы складываются, что даёт такую замечательную картину:

Конечно, эти формулы можно вывести и через теорему синусов для треугольника, и через формулы приведения
Конечно, эти формулы можно вывести и через теорему синусов для треугольника, и через формулы приведения

Вот, собственно говоря, те самые формулы! Естественно, получить формулы для синуса и косинуса разности углов не составляет труда. Нужно только не умножать, а делить комплексные числа, в результате чего получится разность аргументов. Спасибо за внимание!

  • Ставьте "Нравится" и подписывайтесь на канал прямой сейчас, чтобы не пропустить следующие публикации.
  • TELEGRAM и Facebook - там я публикую не только интересные статьи, но и математический юмор и многое другое.
Наука
7 млн интересуются