Найти в Дзене
IQ.HSE

Неоптимизи­рованный продукт: какой ущерб экономике наносит работа без желания

Свыше 57% занятых россиян считают, что не получают справедливой оплаты за свой труд и тратят на работу больше времени, чем это было бы правильно при их фактическом заработке или чем они тратили бы в идеальной жизненной ситуации. В результате часть товаров и услуг в стране производится неэффективно. Владимир Карачаровский рассчитал* величину так называемого «неоптимизированного с социальной точки зрения продукта труда». Неидеальная реальность Среднестатистический россиянин живет в условиях высокой рассогласованности реального и идеального индивидуального бюджета времени по основным социально значимым видам деятельности. При этом более половины занятых считают несправедливой оплату своего труда, полагая, что отрабатывают её за меньшее рабочее время. В среднем россияне сократили бы на 11 часов в неделю время на любые виды оплачиваемой работы и на 3 часа в неделю на ведение домашнего хозяйства. Обратная ситуация наблюдается в области общественно-полезных, то есть формирующих работника и гр
Оглавление
iStock
iStock

Свыше 57% занятых россиян считают, что не получают справедливой оплаты за свой труд и тратят на работу больше времени, чем это было бы правильно при их фактическом заработке или чем они тратили бы в идеальной жизненной ситуации. В результате часть товаров и услуг в стране производится неэффективно. Владимир Карачаровский рассчитал* величину так называемого «неоптимизированного с социальной точки зрения продукта труда».

Неидеальная реальность

Среднестатистический россиянин живет в условиях высокой рассогласованности реального и идеального индивидуального бюджета времени по основным социально значимым видам деятельности. При этом более половины занятых считают несправедливой оплату своего труда, полагая, что отрабатывают её за меньшее рабочее время.

В среднем россияне сократили бы на 11 часов в неделю время на любые виды оплачиваемой работы и на 3 часа в неделю на ведение домашнего хозяйства. Обратная ситуация наблюдается в области общественно-полезных, то есть формирующих работника и гражданина более высокого уровня, форм досуга.

Так, среднестатистический россиянин хотел бы расходовать больше времени на хобби и творчество — на 161%, культуру (театры, музеи, литература, музыка) — на 187%, здоровый образ жизни и уход за собой – на 140%, воспитание детей — на 130%.

Подобная рассогласованность не идет на пользу экономике. В производстве общественного благосостояния появляется «неоптимизированная» часть — то, что население делает без желания, вразрез со своими жизненными установками и социальными предпочтениями.

Процент непродуктивности

По полученным в исследовании оценкам, неоптимизированный общественный продукт труда создает 57,5% занятого населения. Величина индивидуального неоптимизированного продукта труда для среднестатистического работника составляет порядка 40%, или примерно 135 тысяч рублей в год.

«Эти оценки показывают ту часть общественного благосостояния, которая производится неэффективно и то количество труда, которое могло бы использоваться с большей отдачей, если бы комплексные характеристики труда были приведены в соответствие с социальными предпочтениями. Сложившееся на рынке труда равновесие не позволяет обеспечить потенциальную производительность труда ввиду того, что даже будучи оптимальным с точки зрения открытых для индивидов в данной экономике ходов, оно не соответствует социальным ожиданиям работников и их представлениям о справедливости», — поясняет Владимир Карачаровский.

В разных типах поселений показатель неоптимизированного продукта труда неодинаков. В мегаполисах и крупных городах он ниже (38%), в малых городах — выше (45%). Вероятность создания неоптимизированного продукта труда зависит от общей удовлетворенности человека работой и размера заработка (чем выше эти величины, тем вероятность меньше).

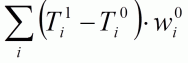
Как это считалось

Величина неоптимизированного общественного продукта труда рассчитывалась на основе соотношения реального и идеального бюджета времени человека по формуле

-2

где:

Ti – время, затрачиваемое на i-й вид деятельности в реальности (индекс «0» – To ) и в гипотетическом идеальном состоянии (индекс «1» – T1);

wi – часовая рыночная ставка зарплаты для i-го вида деятельности в текущий период, либо её альтернативная оценка для нерыночных видов деятельности (например, домашний труд, воспитание детей).

T1 и T0 оценивались двумя альтернативными способами:

1. С помощью вопроса о количестве времени, которое респондент хотел бы (в идеальной жизненной ситуации) тратить на работу и иные виды деятельности.

2. С помощью вопроса о том, справедлив ли с точки зрения респондента его заработок и если нет, то сколько часов в неделю справедливо было бы работать за такую заработную плату.

Информационную базу исследования составили результаты двух волн опроса населения России в возрасте от 18 лет (2016 г. – 1000 чел. и 2017 г. – 700 чел.).

*Исследование «Социальные предпочтения населения и социальная оптимизация общественного продукта труда» выполнено при поддержке Российского научного фонда (проект №16-18-10270).

IQ

Автор исследования:

Владимир Карачаровский, доцент факультета экономических наук, заместитель заведующего Лабораторией сравнительного анализа развития постсоциалистических обществ НИУ ВШЭ