Найти в Дзене
Войти
M A T H S
42 подписчика
Подписаться
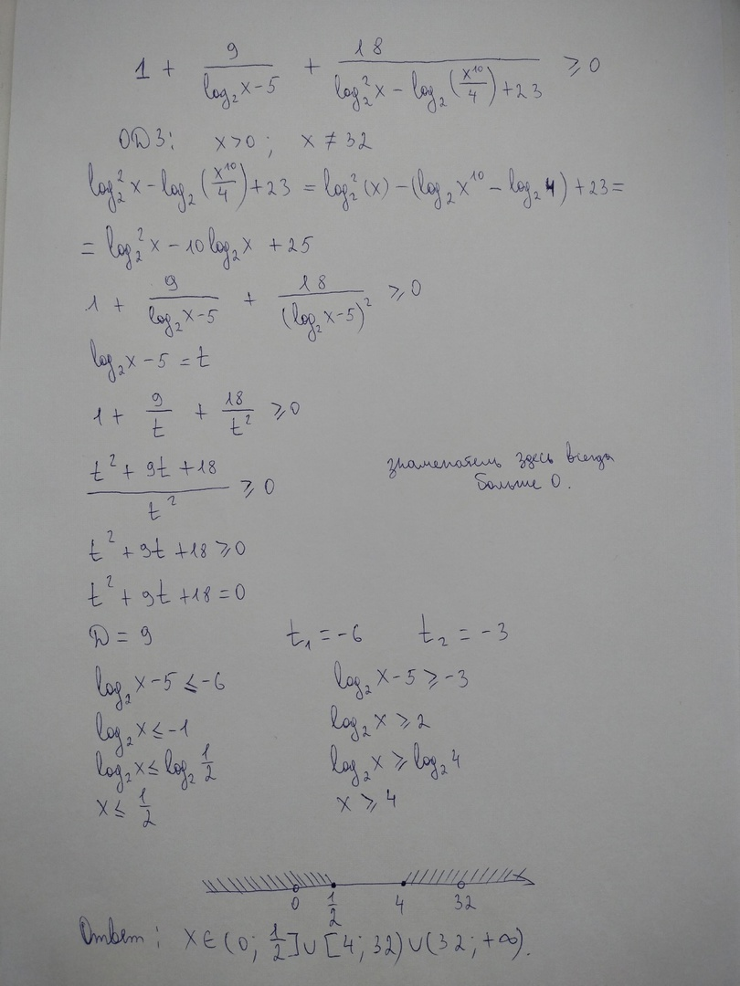
Решение неравенства с логарифмом
21 февраля 2023
21 фев 2023
...
Читать далее
14
2