Найти в Дзене
M A T H S

Квадратные уравнения в Греции или как составлял и решал Диофант квадратные уравнения.

Математики Древней Греции решали квадратные уравнения геометрически; например, Евклид – при помощи деления отрезка в среднем и крайнем отношениях. Решением квадратных уравнений занимались и в Древней Греции такие ученые как Диофант, Евклид и Герон. Диофант Александрийский – древнегреческий математик, живший предположительно в III веке нашей эры. Диофант Александрийский был одним из самых своеобразных древнегреческих математиков, его труды имели большое значение для алгебры и теории чисел. В «Арифметике» Диофанта нет систематического изложения алгебры, однако в ней содержится систематизированный ряд задач, сопровождаемых объяснениями и решаемых при помощи составления уравнений разных степеней. При составлении уравнений Диофант для упрощения решения умело выбирает неизвестные. Вот, к примеру, одна из его задач. «Найти два числа, зная, что их сумма равна 20, а произведение - 96». Диофант рассуждал таким образом: из условия задачи вытекает, что искомые числа не равны, так как если бы они

Математики Древней Греции решали квадратные уравнения геометрически; например, Евклид – при помощи деления отрезка в среднем и крайнем отношениях. Решением квадратных уравнений занимались и в Древней Греции такие ученые как Диофант, Евклид и Герон. Диофант Александрийский – древнегреческий математик, живший предположительно в III веке нашей эры. Диофант Александрийский был одним из самых своеобразных древнегреческих математиков, его труды имели большое значение для алгебры и теории чисел.

В «Арифметике» Диофанта нет систематического изложения алгебры, однако в ней содержится систематизированный ряд задач, сопровождаемых объяснениями и решаемых при помощи составления уравнений разных степеней. При составлении уравнений Диофант для упрощения решения умело выбирает неизвестные.

Вот, к примеру, одна из его задач.

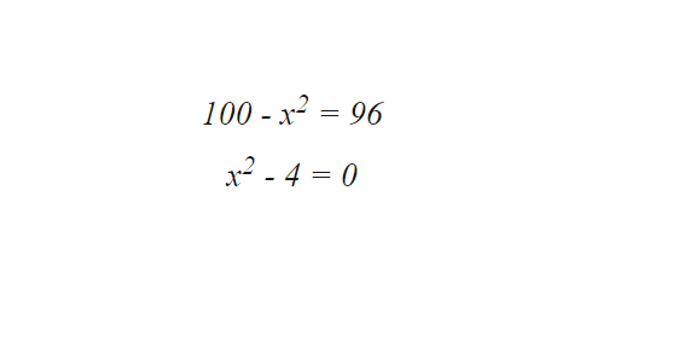
«Найти два числа, зная, что их сумма равна 20, а произведение - 96».

Диофант рассуждал таким образом: из условия задачи вытекает, что искомые числа не равны, так как если бы они были равны, то их произведение равнялось бы не 96, а 100. Таким образом, одно из них будет больше половины их суммы, т.е. 10 + х, другое же меньше, т.е. 10 - х. Разность между ними .

Отсюда получаем уравнение:

(10 + х)(10 - х) = 96

или же:

-2

Отсюда х = 2. Одно из искомых чисел равно 12, другое 8. Решение х = -2 для Диофанта еще не существует, так как греческая математика знала только положительные числа. Если мы решим эту задачу, выбирая в качестве неизвестного одно из искомых чисел, то мы придем к решению уравнения

-3

Ясно, что, выбирая в качестве неизвестного полуразность искомых чисел, Диофант упрощает решение; ему удается свести задачу к решению неполного квадратного уравнения.

-4