Найти в Дзене

Ужасы ГАЗОВ на ЕГЭ по химии?! Задача № 1

Вы хотите познавать химию и профессионально, и с удовольствием? Тогда вам сюда! Автор методики системно-аналитического изучения химии Богунова В.Г. раскрывает тайны решения задач, делится секретами мастерства при подготовке к ОГЭ, ЕГЭ, ДВИ, олимпиадам Хочешь сдать ЕГЭ по химии и биологии на 90+? WhatsApp репетитора Богуновой В.Г. +7(903)186-74-55 Сайт репетитора Богуновой В.Г. Репетитор Богунова В.Г. ВК Полный каталог статей - на авторском сайте в разделе "Статьи репетитора Богуновой В.Г." Соскучились без моих публикаций? Знаю, соскучились. За эти четыре месяца (!!!), пока я находилась в депрессии и глубоких раздумьях, мне пришло огромное количество писем и ВК, и на e-mail, и на WhatsApp, и даже... в Инстаграмм! (Ну да, нарушаю закон через VPN - исключительно для общения с аудиторией, не более). Спасибо-спасибо-спасибо, мои самые любимые читатели и почитатели! Только благодаря вам, я вновь расправила крылья. Надеюсь, буду снова будоражить бдительную "околоучебную" общественность своим

Вы хотите познавать химию и профессионально, и с удовольствием? Тогда вам сюда! Автор методики системно-аналитического изучения химии Богунова В.Г. раскрывает тайны решения задач, делится секретами мастерства при подготовке к ОГЭ, ЕГЭ, ДВИ, олимпиадам

Хочешь сдать ЕГЭ по химии и биологии на 90+? WhatsApp репетитора Богуновой В.Г. +7(903)186-74-55

Сайт репетитора Богуновой В.Г.

Репетитор Богунова В.Г. ВК

Полный каталог статей - на авторском сайте в разделе "Статьи репетитора Богуновой В.Г."

Соскучились без моих публикаций? Знаю, соскучились. За эти четыре месяца (!!!), пока я находилась в депрессии и глубоких раздумьях, мне пришло огромное количество писем и ВК, и на e-mail, и на WhatsApp, и даже... в Инстаграмм! (Ну да, нарушаю закон через VPN - исключительно для общения с аудиторией, не более).

Спасибо-спасибо-спасибо, мои самые любимые читатели и почитатели! Только благодаря вам, я вновь расправила крылья. Надеюсь, буду снова будоражить бдительную "околоучебную" общественность своими колючими статьями. Не обижайтесь. Я всего лишь зеркало, отражающее реальности происходящего в сфере химического и биологического среднего образования. А на зеркало, как говориться, нечего пенять...

Однако, перейдем к основной теме статьи. Свои предыдущие публикации я остановила на более чем интересной теме - ГАЗЫ...

Знаете, какое мнение бытует среди экзаменаторов и составителей экзаменационных заданий? "Если ты хочешь кого-либо завалить, подсунь горемыке задачу на газы". Я понимаю, что среди моих читателей найдется десять-двадцать "задачных спецов", которые разгрызут любой "гранит". Но остальные сто тысяч абитуриентов, которые уже подали заявление на сдачу ЕГЭ по химии? Как с ними быть?

Прогнозирую ваши вопросы: "Почему именно газы?", "Я что-то знаю из того, чего простым смертным знать не дано?" или "Я - Ванга?!".

Успокойтесь! Просто я более чем внимательно отслеживаю все, что связано с ЕГЭ, ОГЭ, ДВИ, олимпиадами и делаю выводы.

Основной вывод, который побудил меня начать обширные публикации по ГАЗАМ: газы - это сложно, серьезные задачи по газам на ЕГЭ давно зрели, ходят слухи, что сложные задачи на газы будут на ЕГЭ 2023 (по крайней мере, отдельные элементы алгоритмики газов будут точно!)

Огромное количество других типов задач (растворимость, электролиз, атомистика, включая протоны и др.) не только были представлены в КИМах ЕГЭ, но и широко освещены в интернете, их алгоритмы разложены по полочкам, статьи написаны и пользуются большим спросом (недаром более 3000 человек ежедневно "живут" на моем канале в Дзене). Чего не скажешь о серьезных задачах на газы. Во-первых, таких задач мало представлено в публикациях интернета. Во-вторых, их решение и анализ алгоритма оставляет желать лучшего.

Небольшое отступление.

Хотите знать мои "алгоритмы-любимки"?

Атомистика
Газы
ОВР
Растворимость
Электролиз

Будущие ученики - учтите!

Что же такого трудного может быть в задачах на газы?

1) изменение абсолютной или относительной плотности смеси газов в результате протекания реакции (или реакций)
2) изменение объема смеси газов в результате протекания реакции (или реакций)

Сегодня я вам предложу не самую сложную задачу, связанную с изменением плотности смеси газов. И еще одну дам на закрепление. Почему не самую сложную? Чтобы понять и проработать алгоритм решения. А это легко сделать на простом. А уже потом перейдем к настоящим ужастикам. Вперед!

Задача 1 (автор Богунова В.Г.)

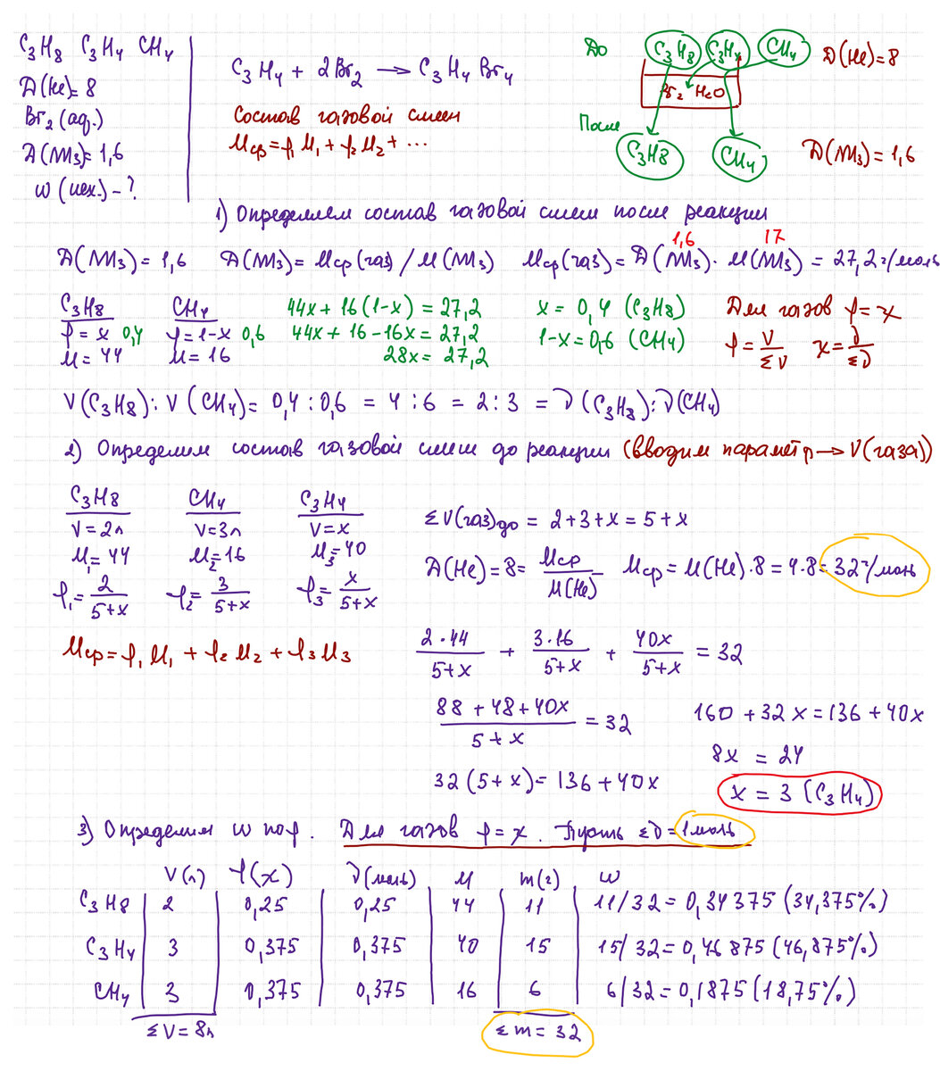
Смесь пропана, пропина и метана с плотностью по гелию 8 была пропущена через сосуд с бромной водой, взятой в избытке, после чего ее плотность по аммиаку стала равной 1,6. Определите массовые доли газов в исходной смеси
Задача по химии на изменение плотности смеси газов. Автор Богунова В.Г.
Задача по химии на изменение плотности смеси газов. Автор Богунова В.Г.

Анализ алгоритма решения:

1. В задаче четко представлены два блока со своими параметрами - до реакции (три газа) и после реакции (два газа).
2. Если вы внимательно изучали основные понятия решения задач на газы, то можете определить состав газовой смеси (из ДВУХ газов) по средней молярной массе. В представленной задаче средняя молярная масса рассчитывается по относительной плотности газа.
3. Очевидно, что начинать решать задачу нужно со второго блока (после реакции). Легко определить, что объемные (и мольные) доли относятся друг к другу как 2 (пропан) : 3 (метан).
4. В задаче не представлены никакие абсолютные значения (моль, г, л и др.), следовательно, задача - параметрическая (на введение свободного параметра).
5. Для определения состава газовой смеси в первом блоке (до реакции), вводим параметры, соответствующие отношению объемных долей - пропана 2 л, метана - 3 л, пропина - Х л.
6. По основному алгебраическому уравнению состава газовой смеси по средней молярной массе, составляем уравнение для трех газов и решаем его. Оказывается, пропина в смеси тоже 3 л.
7. Более точно, объемные (и мольные) соотношения газов в смеси: пропан : метан : пропин = 2 : 3 : 3.
8. В своих публикациях я рассказывала о том, как рассчитать массовую долю газа по его объемной доле. Такие расчеты очень удобно делать в таблице, представленной в конце решения.

Все! Задача решена! Когда все разложено по полочкам и показан логический путь алгоритма, задача кажется очень простой.

Попробуйте закрепить задачу на аналогичной. Задача, которую я предлагаю вам решать на закрепление, находится в моей коллекции вот уже около 30 лет. Посмотрела по поводу этой задачи в интернете и увидела много интересного - более пяти разных авторов приписывают ее себе. Спорить не берусь, но на диске с этой задачей стоит дата - 5 июля 1994 года. Кстати, похоже, эта задача была представлена на вступительных экзаменах в МГМСУ примерно в те годы. Однако, это уже не так важно. Решайте! Если не получится, пишите - помогу решить и объясню особенности алгоритма.

Задача 2 (автор неизвестен)

Смесь бутена-2 и водорода с плотностью по гелию 3,20 пропустили над катализатором, после чего ее плотность по гелию составила 3,55. Чему равен выход реакции?

Понравилась статья? Самое интересное, как всегда, впереди! Успехов и удачи! До встречи на Яндекс Дзен!

Не забывайте подписаться на мой канал и поставить лайк!

Репетитор по химии и биологии кбн В.Богунова