Найти в Дзене

№ 593 из учебника по алгебре для 7-го класса (автор Ю. Н. Макарычев)

Сложение и вычитание многочленов Уважаемые мамы и папы, дедушки и бабушки! На примерах решений № 593 из 8-го издания учебника по алгебре для 7-го класса авторов Ю. Н. Макарычева, Н. Г. Миндюк, К. И. Нешкова и С. Б. Суворова под редакцией С. А Теляковского предлагаю вспомнить сложение и вычитание многочленов. Условия примеров: Найдите многочлен, после подстановки которого вместо M следующее равенство окажется тождеством: Решения примеров: В главе IV §9 п.26 учебника на странице 131 даётся правило: если перед скобками ставится знак «плюс», то члены, которые заключают в скобки, записывают с теми же знаками; если перед скобками ставится знак «минус», то знаки членов, заключаемых в скобки, меняют на противоположные. Поэтому в данном случае при раскрытии скобок члены, заключённые в первые скобки, оставляем с теми же знаками, а у членов, заключённые во вторые скобки, знаки поменяем. После раскрытия скобок мы видим в многочлене две пары подобных членов: Сложив эти пары, получаем: Раскрывая ско
Оглавление

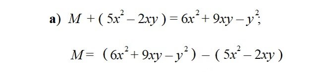
Сложение и вычитание многочленов

Уважаемые мамы и папы, дедушки и бабушки!

На примерах решений № 593 из 8-го издания учебника по алгебре для 7-го класса авторов Ю. Н. Макарычева, Н. Г. Миндюк, К. И. Нешкова и С. Б. Суворова под редакцией С. А Теляковского предлагаю вспомнить сложение и вычитание многочленов.

Условия примеров:

Найдите многочлен, после подстановки которого вместо M следующее равенство окажется тождеством:

Решения примеров:

-2

В главе IV §9 п.26 учебника на странице 131 даётся правило: если перед скобками ставится знак «плюс», то члены, которые заключают в скобки, записывают с теми же знаками; если перед скобками ставится знак «минус», то знаки членов, заключаемых в скобки, меняют на противоположные.

Поэтому в данном случае при раскрытии скобок члены, заключённые в первые скобки, оставляем с теми же знаками, а у членов, заключённые во вторые скобки, знаки поменяем.

-3

После раскрытия скобок мы видим в многочлене две пары подобных членов:

-4

Сложив эти пары, получаем:

-5

Раскрывая скобки в пункте «б», мы не меняли знаки слагаемых, так как знака «минус» нет перед обоими парами скобок, и тоже получили две пары подобных слагаемых, которые затем сложили.

-6

Последний пример является самым лёгким – ученики в этом возрасте (7-й класс) сразу видят, что значение M равно многочлену, заключённому в скобки.

-7

Статьи о раскрытии скобок есть также здесь и здесь.