Добавить в корзинуПозвонить
Найти в Дзене
Репетитор IT men

Сможете решить эту систему уравнений? ( Олимпиадная задача )

Недавно я наткнулся на очередную интересную задачу из школьной алгебре. Это задача примерно для 8 класса. Но решить её будет не так уж просто. Даже у моей ученицы, с которой мы готовимся к олимпиадам по математике, возникли трудности с идеями решения этой системы уравнений. К сожалению, в школах, даже в физико-математических лицеях, уделяют внимание только линейным системам уравнений. Точнее таким системам, линейность которых сразу же видно без какиз-либо замен переменных. Но есть такие задачи, в которых не обойтись без замены переменных. В противном случае, если пытаться решать с помощью выражения и подстановки, то можно прийти к уравнениям высоких порядков, которые затруднительно решать аналитическими способами (отсылка к методу Феррари, например). Что же, приступим разбору... Задача Решение: Шаг1. Сделаем следующую замену переменных и преобразуем первоначальную систему уравнений. Получим три уравнения с одинаковыми левыми частями. Это даст нам возможность попарного сравнения левых ч
Оглавление

Недавно я наткнулся на очередную интересную задачу из школьной алгебре. Это задача примерно для 8 класса. Но решить её будет не так уж просто. Даже у моей ученицы, с которой мы готовимся к олимпиадам по математике, возникли трудности с идеями решения этой системы уравнений.

К сожалению, в школах, даже в физико-математических лицеях, уделяют внимание только линейным системам уравнений. Точнее таким системам, линейность которых сразу же видно без какиз-либо замен переменных.

Но есть такие задачи, в которых не обойтись без замены переменных. В противном случае, если пытаться решать с помощью выражения и подстановки, то можно прийти к уравнениям высоких порядков, которые затруднительно решать аналитическими способами (отсылка к методу Феррари, например).

Что же, приступим разбору...

Задача

Решение:

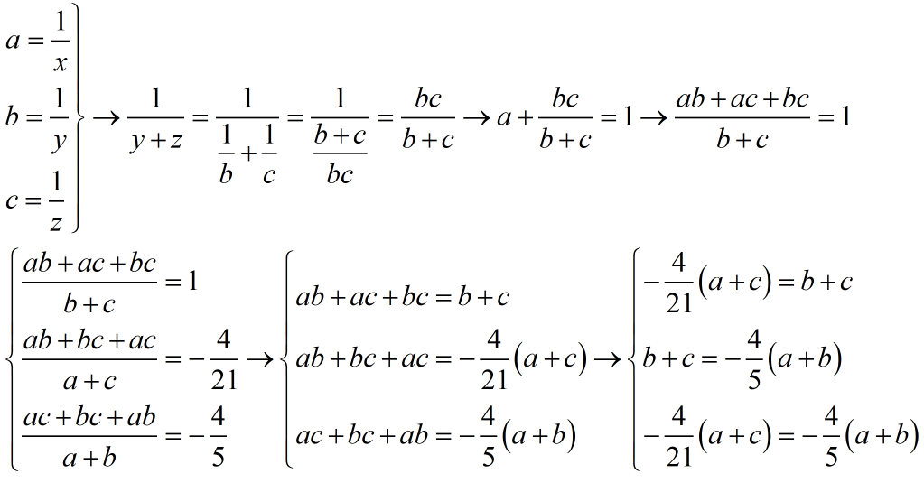
Шаг1. Сделаем следующую замену переменных и преобразуем первоначальную систему уравнений. Получим три уравнения с одинаковыми левыми частями. Это даст нам возможность попарного сравнения левых частей:

-2

Шаг 2. Мы добились системы из трех линейных уравнений. Самое сложное позади. Группируем, приводим подобные слагаемые. Дале выражаем переменные a и c через переменную b.

-3

Шаг 3. Делаем обратную замену переменных. Используем её для последних двух уравнений из предыдущего пункта. Это позволяет нам выразить x и z через y, подставить их в любое из трех исходных уравнений, получить уравнение только относительно y и решить его. Остается найти x и z, затем выполнить проверку.

-4

Решение полностью:

-5

Задача решена. Знаете другие способы решить задачу? Напишите в комментариях :)

Понравилась заметка? Поставьте лайк, подпишитесь на канал! Вам не сложно, а мне очень приятно :)

Если Вам нужен репетитор по физике, математике или информатике/программированию, Вы можете написать мне или в мою группу Репетитор IT mentor в VK
Библиотека с книгами для физиков, математиков и программистов
Репетитор IT mentor в Instagram
Репетитор IT mentor в telegram