Добавить в корзинуПозвонить
Найти в Дзене
Математика не для всех

Самый простой способ вычисления процентов в уме для тех, кто уже забыл математику

Приветствую Вас, уважаемые Читатели! Сегодня у нас непродолжительная разгрузка от серьезной математики. Поговорим о теме, которая в плане устного счёта ввергает в ступор многих взрослых людей - о процентах. Сейчас я покажу правило, следуя которому, можно большинство вычислений на проценты проводить в уме. Итак, пусть требуется вычислить 15 процентов от 75. Мы пользуемся тем, что проценты линейны, а значит 15 процентов можно найти, как сумму 10% и 5%, которые любой вычислит запросто: Естественно, составлять искомый процент можно и с помощью разности. Например, вычислим 95 процентов от 720: Здесь 5 процентов не так-то просто вычислить в уме, поэтому пользуемся тем, что 1 процент вычисляется легко. Как Вам способ? Потренируйтесь на досуге (например, вычислите этим способом 85 процентов от 620) и Вам точно понравится! Спасибо за внимание! Читайте также:

Приветствую Вас, уважаемые Читатели! Сегодня у нас непродолжительная разгрузка от серьезной математики. Поговорим о теме, которая в плане устного счёта ввергает в ступор многих взрослых людей - о процентах.

Сейчас я покажу правило, следуя которому, можно большинство вычислений на проценты проводить в уме.

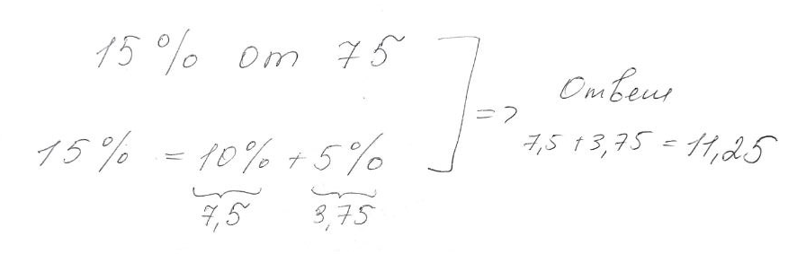
Итак, пусть требуется вычислить 15 процентов от 75. Мы пользуемся тем, что проценты линейны, а значит 15 процентов можно найти, как сумму 10% и 5%, которые любой вычислит запросто:

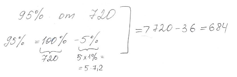
Естественно, составлять искомый процент можно и с помощью разности. Например, вычислим 95 процентов от 720:

-2

Здесь 5 процентов не так-то просто вычислить в уме, поэтому пользуемся тем, что 1 процент вычисляется легко. Как Вам способ? Потренируйтесь на досуге (например, вычислите этим способом 85 процентов от 620) и Вам точно понравится! Спасибо за внимание!

Читайте также: