Найти в Дзене
Синий Сайт

БИОЛОГИЯ В ХУДОЖЕСТВЕННОЙ КНИГЕ: как избежать самых распространённых ляпов? Часть 2

Часть 1. БИОЛОГИЯ В ХУДОЖЕСТВЕННОЙ КНИГЕ: как исправить ляпы о ДНК? Часть 2. Чтобы избежать самых распространённых ляпов, попробуем разобраться: что такое ДНК? 1. ДНК – это очень длинная молекула-полимер. Слово «полимер» означает, что молекула состоит из повторяющихся участков. В случае ДНК эти участки называются «нуклеотиды», и их четыре разновидности: аденин, тимин, гуанин и цитозин (обозначаются буквами А, Т, Г и Ц). Два из них – аденин и гуанин - немного побольше, два других – цитозин и тимин – поменьше. Аденин – «большой», а тимин – «маленький». Приведённые картинки даны совсем не для того, чтобы испугать. Запоминать структурную формулу аденина нам не понадобится. Но нуклеотиды – не абстракция и не «нечто непонятное»: это просто некие вполне конкретные химические вещества. Немного истории. В 1950-1953 годах американский биохимик Эрвин Чаргафф обнаружил, что, хотя количество нуклеотидов каждого сорта в ДНК организмов разных видов отличается, тем не менее, в их соотношении сущест

Часть 1. БИОЛОГИЯ В ХУДОЖЕСТВЕННОЙ КНИГЕ: как исправить ляпы о ДНК?

Часть 2. Чтобы избежать самых распространённых ляпов, попробуем разобраться: что такое ДНК?

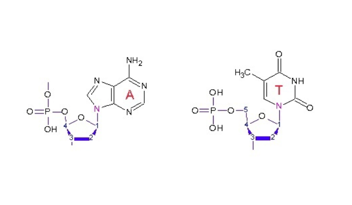
1. ДНК – это очень длинная молекула-полимер. Слово «полимер» означает, что молекула состоит из повторяющихся участков. В случае ДНК эти участки называются «нуклеотиды», и их четыре разновидности: аденин, тимин, гуанин и цитозин (обозначаются буквами А, Т, Г и Ц). Два из них – аденин и гуанин - немного побольше, два других – цитозин и тимин – поменьше.

-2

Аденин – «большой», а тимин – «маленький».

Приведённые картинки даны совсем не для того, чтобы испугать. Запоминать структурную формулу аденина нам не понадобится. Но нуклеотиды – не абстракция и не «нечто непонятное»: это просто некие вполне конкретные химические вещества.

Немного истории. В 1950-1953 годах американский биохимик Эрвин Чаргафф обнаружил, что, хотя количество нуклеотидов каждого сорта в ДНК организмов разных видов отличается, тем не менее, в их соотношении существует закономерность: аденина в ДНК всегда столько же, сколько тимина, а гуанина – столько же, сколько цитозина.

В 1952 году двое молодых учёных Джеймс Уотсон и Фрэнсис Крик начали работать над созданием модели структуры ДНК. Эта модель должна была учитывать пространственное расположение атомов в каждом нуклеотиде (а межатомные расстояния и углы между химическими связями вполне поддаются расчётам), кроме того – в неё должны были вписываться правила, выведенные Э. Чаргаффом. И последнее: модель должна была соответствовать рентгенограмме, полученной примерно в это же время талантливой исследовательницей Розалинд Франклин; в частности, молекула должна была оказаться закрученной в спираль одинакового диаметра на всём протяжении.

И такой способ расположения нуклеотидов удалось найти! Оказалось, что все эти условия выполняются, если выстроить параллельно две цепочки нуклеотидов (двойная спираль) таким образом, что между парами нуклеотидов возникают «мостики» - слабые силы притяжения между разноимённо заряженными участками молекул. При этом аденин всегда находится напротив тимина, а гуанин – напротив цитозина: «большой» напротив «маленького» - вот вам и одинаковый диаметр на всём протяжении двойной спирали, и объяснение правил, выведенных Э. Чаргаффом. Слова «Двойная спираль» стали названием знаменитой книги Д.Уотсона и практически устойчивым словосочетанием – заменителем аббревиатуры «ДНК».

-3

Вот так нуклеотиды соединяются друг с другом в цепь.

-4

А вот так две цепочки соединяются друг с другом. Конечно, если нам важен именно порядок нуклеотидов, не нужно изображать каждый из них подробно. Достаточно записать последовательность, используя первые буквы названий.

Итак,

2. Молекула ДНК на самом деле – двойная: две полимерные цепочки нуклеотидов выстроены напротив друг друга

3. Аденин всегда находится напротив тимина, а гуанин – напротив цитозина и никак иначе (это называется «правилом комплементарности»).

Заодно мы разобрались в том, почему принято говорить о «парах нуклеотидов».

Ну и в довершение: молекулы ДНК очень, очень велики. Например, у человека 23 пары хромосом и, значит, 46 молекул ДНК (так как каждая хромосома в клетке, не приступающей к делению, содержит только одну молекулу ДНК) Так вот, если эти сорок шесть молекул «связать» в общую «нить», её длина достигнет двухсот двух сантиметров! Всего наши сорок шесть молекул ДНК содержат около трёх миллиардов пар нуклеотидов! Сколько авторских листов в нашей «книге»?

Поэтому -

4. Эти длинные молекулы плотно упакованы с помощью специальных белков, иначе они очень легко повреждались бы.

Когда клетке надо поделиться – она строит копию каждой молекулы ДНК, а потом упаковывает их ещё более плотным образом. Тогда мы начинаем различать в световой микроскоп хромосомы. Правда, теперь каждая хромосома содержит уже две молекулы ДНК и выглядит как состоящая из двух половинок, которые называются хроматидами.

-5

Вот так они выглядят теперь.

5. Хромосомы – это тельца, состоящие из молекул ДНК и упаковывающих их белков. Молекул ДНК в хромосоме может быть одна или две.

Ну а теперь мы можем вернуться к картинке – кадру из образовательного ролика и найти ошибки!

-6

В следующей статье: Что такое ген, геном, генофонд?

©Татьяна Виноградова для Синего Сайта

Не пропустите новые публикации, подписывайтесь на наш канал, оставляйте отзывы, ставьте палец вверх – вместе интереснее!
Приносите своё творчество на
Синий Сайт! Самые интересные работы познают Дзен!

#синий сайт #полезно для авторов #литература #биология