Найти в Дзене
Математика не для всех

Простейшая теорема о британском флаге, которая неожиданно обобщается на всё вокруг

Приветствую Вас, уважаемые Читатели! Прежде чем переходить к самой теореме необходимо рассмотреть одну занимательную геометрическую задачку, решив которую мы придем к простому практическому правилу, которое и называется теоремой о британском флаге. Поехали!

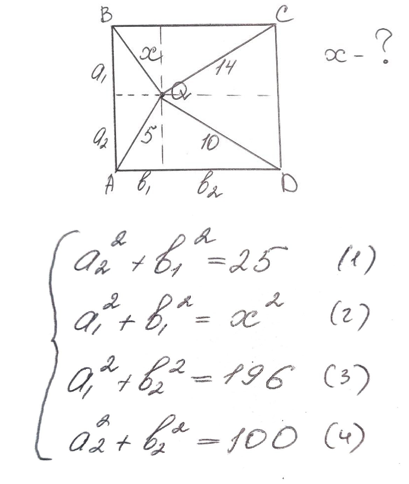
Требуется найти расстояние от точки, находящейся в прямоугольнике до одной из вершин, если известны остальные три расстояния.

Ну что же, как обычно ищем варианты применить теорему Пифагора и вводим переменные:

Переменных больше, чем уравнений
Переменных больше, чем уравнений

Ничего сложного - нужно лишь грамотно подойти к операциям с уравнениями и понадобится лишь три хода:

-3

Ну что же, ответ получен, а заодно в ходе решения и прослеживается сама теорема:

Если точка Q выбрана внутри прямоугольника ABCD, то сумма квадратов расстояний от P до двух противоположных углов прямоугольника равна сумме расстояний до двух других противоположных углов.

В формулах это выглядит (и проверяется) так:

-4

Изумительно! Но постойте, сейчас будет еще круче! Оказывается, теорема о британском флаге справедлива, даже если точка располагается вне прямоугольника.

Это, кстати, легко доказывается:

-5

Окиньте взглядом эту тривиальную, но невероятную красоту. Оказывается, от положения точки относительно прямоугольника НИЧЕГОШЕНЬКИ не зависит!

Если хотите, для каждой точки евклидова пространства относительно прямоугольника есть инвариант!

У теоремы о британском флаге есть обобщения и для трехмерного пространства (например воспарите над плоскостью на прошлом рисунке), однако самым красочным, по моему мнению, является такое следствие:

Источник: https://upload.wikimedia.org/wikipedia/commons/thumb/7/75/British_flag_theorem_squares.svg/378px-British_flag_theorem_squares.svg.png
Источник: https://upload.wikimedia.org/wikipedia/commons/thumb/7/75/British_flag_theorem_squares.svg/378px-British_flag_theorem_squares.svg.png

Согласно теореме о британском флаге, красные квадраты имеют ту же общую площадь, что и синие.

Спасибо за внимание! Подписывайтесь на канал и ставьте "Нравится" этой статье.

Читайте также: