Добавить в корзинуПозвонить
Найти в Дзене
Математика не для всех

Еще три задачи по математике, решив которые, можно поступить в элитный московский лицей

Приветствую Вас, уважаемые Читатели! Продолжаем разбор задач для поступления в Лицей Национального исследовательского университета "Высшая школа экономики". В прошлых двух материалах я рассмотрел порядок поступления, а также решил некоторые задачи из комплексного тестирования по математике. Сегодня продолжаем. Итак, в седьмой задаче необходимо обладать лишь базовыми навыками выполнения арифметических операций: Наконец, геометрия (в последнее время искренне полюбил это направления, хотя в школе не примечал). Задачка № 8, впрочем, очень простенькая, и решается практически в два действия: С самого первого взгляда было понятно, что наибольший интерес вызывает десятая задача с параметром. Однако, пристальный взгляд показывает, что "царь-то не настоящий!", а уравнения - линейное. Для таких уравнения есть два случая - либо решение единственное, либо их бесконечное количество. Судя по условию, нас устраивает второй. Сначала же выражаем неизвестную через параметр: Дело за малым: разложить чис

Приветствую Вас, уважаемые Читатели! Продолжаем разбор задач для поступления в Лицей Национального исследовательского университета "Высшая школа экономики". В прошлых двух материалах я рассмотрел порядок поступления, а также решил некоторые задачи из комплексного тестирования по математике. Сегодня продолжаем.

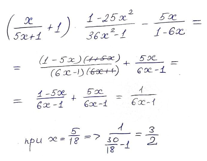
Итак, в седьмой задаче необходимо обладать лишь базовыми навыками выполнения арифметических операций:

-2

Наконец, геометрия (в последнее время искренне полюбил это направления, хотя в школе не примечал). Задачка № 8, впрочем, очень простенькая, и решается практически в два действия:

-3

С самого первого взгляда было понятно, что наибольший интерес вызывает десятая задача с параметром. Однако, пристальный взгляд показывает, что "царь-то не настоящий!", а уравнения - линейное.

Для таких уравнения есть два случая - либо решение единственное, либо их бесконечное количество. Судя по условию, нас устраивает второй.

Сначала же выражаем неизвестную через параметр:

-4

Дело за малым: разложить числитель на множители. В этом нам поможет теорему Безу, деление многочленов....нет, всё проще. Просто вынесем за скобки очевидное выражение:

-5

Теперь понятно, что уравнения имеет бесконечное число решений, в двух случаях: при а = 3 и а = 1. Проверяем, и действительно:

-6

Остальные задачи разбирать не вижу смысла, ведь я и так охватил всё интересное (по моему мнению). Ну что, уважаемые Читатели? Сможет Ваш ребенок осилить этот экзамен? Пишите в комментариях всё, что Вы думаете по этому поводу. Спасибо за внимание!

Читайте также: