Найти в Дзене

Нахождение стороны треугольника по двум сторонам и медиане

Отличный повод вывести полезную (но очень редко) формулу и может даже две. Речь пойдет опять о метрическом соотношении сторон в треугольнике (9-й класс), а именно связь между сторонами и медианами и в качестве бонуса выведем формулу нахождения стороны по двум другим и медиане, а ещё — формулу нахождения медианы по трём сторонам. Условие В треугольнике две стороны равны 11 и 23, а медиана, проведенная к третьей, равна 10. Найдите третью сторону. Подсказка Как и в последних нескольких задачах, подсказка будет — теорема косинусов. А именно — уравнение или даже система уравнений на теореме косинусов. Нужно только заметить смежные углы, косинусы которых – противоположны. Формула №1 Нахождение стороны по двум известным и медиане Выведется самостоятельно, если до самого конца использовать буквенные обозначения сторон и медианы. Формула №2 Нахождение медианы по трём сторонам Выводится из предыдущей формулы небольшими преобразованиями. #школьное образование #школьная программа #образование
Оглавление

Отличный повод вывести полезную (но очень редко) формулу и может даже две.

Речь пойдет опять о метрическом соотношении сторон в треугольнике (9-й класс), а именно связь между сторонами и медианами и в качестве бонуса выведем формулу нахождения стороны по двум другим и медиане, а ещё — формулу нахождения медианы по трём сторонам.

Условие

В треугольнике две стороны равны 11 и 23, а медиана, проведенная к третьей, равна 10. Найдите третью сторону.

Подсказка

Как и в последних нескольких задачах, подсказка будет — теорема косинусов. А именно — уравнение или даже система уравнений на теореме косинусов. Нужно только заметить смежные углы, косинусы которых – противоположны.

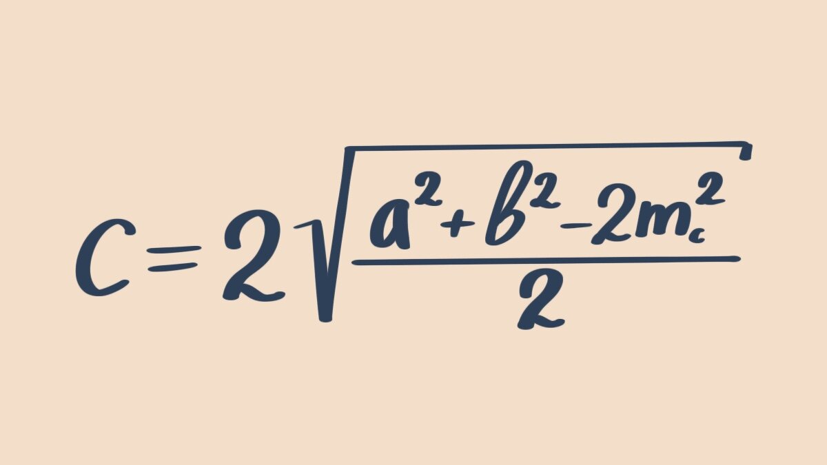
Формула №1

Нахождение стороны по двум известным и медиане

-2

Выведется самостоятельно, если до самого конца использовать буквенные обозначения сторон и медианы.

Формула №2

Нахождение медианы по трём сторонам

-3

Выводится из предыдущей формулы небольшими преобразованиями.

#школьное образование #школьная программа #образование