Добавить в корзинуПозвонить
Найти в Дзене
Математика не для всех

Божественный предел и теорема Штольца

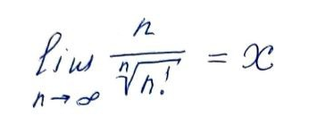
Приветствую Вас, уважаемые Читатели! Сегодня я хочу показать Вам необычайной красоты пример нахождения предела последовательности с использованием теоремы Штольца. Пример достаточно простой, в нём нет никакой запредельной математики. Поехали! Итак, необходимо найти значение такого выражения: Подход к решению, в целом, довольно стандартный, если под знаком предела присутствуют радикалы: необходимо прологарифмировать левую и правую часть выражения: А вот теперь придется вспомнить теорему, доказанную австрийским математиком Отто Шольцем. Она гласит, что для двух положительных последовательностей, одна из которых монотонно возрастает справедливо условие: В качестве последовательностей x и y возьмем числитель и знаменатель нашего примера: Все условия теоремы Штольца для обоих последовательностей выполнены. Начинаем её активно применять. Преобразования тривиальны. Единственное, что надо помнить, что (n+1)! = n! * (n+1). Что же мы видим в конце? Правильно, замечательный предел! Вернемся от л

Приветствую Вас, уважаемые Читатели! Сегодня я хочу показать Вам необычайной красоты пример нахождения предела последовательности с использованием теоремы Штольца. Пример достаточно простой, в нём нет никакой запредельной математики. Поехали!

Источник: https://yt3.ggpht.com/a/AATXAJzhLYcr4DfrQgE39ofeoNK7zb-TZ1t7NHNXrvHm=s900-c-k-c0x00ffffff-no-rj
Источник: https://yt3.ggpht.com/a/AATXAJzhLYcr4DfrQgE39ofeoNK7zb-TZ1t7NHNXrvHm=s900-c-k-c0x00ffffff-no-rj

Итак, необходимо найти значение такого выражения:

-2

Подход к решению, в целом, довольно стандартный, если под знаком предела присутствуют радикалы: необходимо прологарифмировать левую и правую часть выражения:

-3

А вот теперь придется вспомнить теорему, доказанную австрийским математиком Отто Шольцем. Она гласит, что для двух положительных последовательностей, одна из которых монотонно возрастает справедливо условие:

-4

В качестве последовательностей x и y возьмем числитель и знаменатель нашего примера:

-5

Все условия теоремы Штольца для обоих последовательностей выполнены. Начинаем её активно применять.

-6

Преобразования тривиальны. Единственное, что надо помнить, что (n+1)! = n! * (n+1). Что же мы видим в конце? Правильно, замечательный предел! Вернемся от логарифмов к исходному выражению и получим ответ:

-7

Спасибо за внимание! Читайте про самый страшный интеграл в Вашей жизни, на решение которого придется потратить всего лишь десяток секунд!

  • TELEGRAM и Facebook - там я публикую не только интересные статьи, но и математический юмор и многое другое