Добавить в корзинуПозвонить
Найти в Дзене
Математика не для всех

Помните великую задачу Ферма? Оказывается, это лишь частный случай более общей гипотезы

Приветствую Вас, уважаемые Читатели! Только ленивый любитель математики не знает про Эндрю Уайлса и решенную им Великую теорему Ферма, которая заключалась в поиске натуральных решений уравнения: Эндрю Уайлс с помощью чудовищной по сложности математики подтвердил гипотезу Ферма, чем навсегда вписал себя в историю. Однако, были и другие вопросы. Еще великий Леонард Эйлер предположил в 18 веке, что: Впрочем, уже в 20 веке с наступлением компьютерной эры были предъявлены контрпримеры, минимальные из которых: Первый из этих контрпримеров принадлежал троице американских математиков L.J. Lander, T.R. Parkin и J.L. Selfridge, творчество которых пришлось на 50-60-е годы двадцатого века. Эти же математики и выдвинули глобальную гипотезу, обобщающую гипотезу Ферма (на тот момент) и предположения Леонарда Эйлера: Специалисты по теории чисел и просто любители царицы наук со всего мира принялись усиленно искать решения всевозможных уравнений Ландера-Паркина-Селфриджа. Для удобства ими была введена ф

Приветствую Вас, уважаемые Читатели! Только ленивый любитель математики не знает про Эндрю Уайлса и решенную им Великую теорему Ферма, которая заключалась в поиске натуральных решений уравнения:

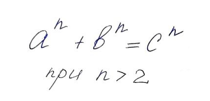
Простота обманчива! Пьер Ферма предположил (эх, если бы он знал, какая война шла вокруг сделанной им заметки на полях "Арифметики" Диофанта Александрийского), что указанное равенство невозможно
Простота обманчива! Пьер Ферма предположил (эх, если бы он знал, какая война шла вокруг сделанной им заметки на полях "Арифметики" Диофанта Александрийского), что указанное равенство невозможно

Эндрю Уайлс с помощью чудовищной по сложности математики подтвердил гипотезу Ферма, чем навсегда вписал себя в историю.

Источник: https://tatpin.ru/ris_m_GP/1302.jpg
Источник: https://tatpin.ru/ris_m_GP/1302.jpg

Однако, были и другие вопросы. Еще великий Леонард Эйлер предположил в 18 веке, что:

-3

Впрочем, уже в 20 веке с наступлением компьютерной эры были предъявлены контрпримеры, минимальные из которых:

Второй пример найден лишь в 1988 году!
Второй пример найден лишь в 1988 году!

Первый из этих контрпримеров принадлежал троице американских математиков L.J. Lander, T.R. Parkin и J.L. Selfridge, творчество которых пришлось на 50-60-е годы двадцатого века.

Эти же математики и выдвинули глобальную гипотезу, обобщающую гипотезу Ферма (на тот момент) и предположения Леонарда Эйлера:

В первом случае мы получаем пифагоровы тройки, а во втором уже знакомую нам формулировку Великой теоремы.
В первом случае мы получаем пифагоровы тройки, а во втором уже знакомую нам формулировку Великой теоремы.

Специалисты по теории чисел и просто любители царицы наук со всего мира принялись усиленно искать решения всевозможных уравнений Ландера-Паркина-Селфриджа. Для удобства ими была введена формальная запись:

Да, вы не поверите, но и решение такого уравнения найдено с помощью компьютерных вычислений!
Да, вы не поверите, но и решение такого уравнения найдено с помощью компьютерных вычислений!

В 2000 году энтузиасты завели сайт http://euler.free.fr/, на котором попытались систематизировать все найденные за долгие годы решения этих уравнений. Типичное решение с сайта для (8,3,5):

966^8+539^8+81^8 = 954^8+725^8+481^8+310^8+158^8

На ресурсе ведется таблица, которая показывает найденные минимальные решения для уравнений Ландера-Паркина-Селфриджа:

Сайт достаточно живой, потому что последние обновления на нём датируются весной 2020 года. Единственное, что непонятно, почему на сайте коэффициенты m и n поменяны местами?
Сайт достаточно живой, потому что последние обновления на нём датируются весной 2020 года. Единственное, что непонятно, почему на сайте коэффициенты m и n поменяны местами?

Например, выделенная клетка означает, что математиком Jaroslaw Wroblewski (JW) найдено решение для уравнения со степенью k=14 , n = 6 и m=16. Голубой цвет свидетельствует о том, что найденное значение m может быть теоретически уменьшено. Красная область образована отсутствием решений уравнения вследствие теоремы Ферма. В целом ресурс очень занимательный, рекомендую посетить всем неравнодушным посетителям блога "Математика не для всех". Спасибо за внимание!