Добавить в корзинуПозвонить
Найти в Дзене
Математика не для всех

Скандал на ЕГЭ по математике в США. Из-за ошибки чиновников пришлось переоценить 300 000 человек

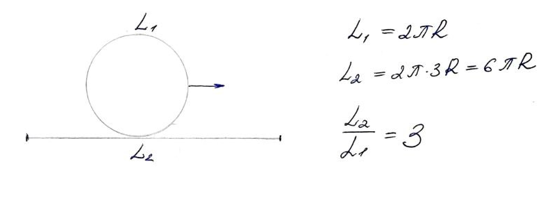
Приветствую Вас, уважаемые Читатели! Сегодня я хочу рассказать Вам об одном удивительном случае, которые произошел в штате Нью-Йорк в 1992 году на американском аналоге нашего Единого ГосЭкзамена - SAT (про него я уже писал несколько раз на своем канале). В результате недосмотра местных чиновников от образования, комиссии пришлось переоценить почти 300 000 результатов экзамена. Примечательно, что ошибку заметили всего три студента, апелляции которых и привели к восстановлению справедливости. Итак, одна из задач экзамена заключалась в следующем: Вопрос: сколько раз повернется малая окружность вокруг центра, пока не вернется в прежнюю точку? Ответ, который сам собой напрашивался - 3 раза. Действительно. если представить, что малая окружность прокатывается по отрезку прямой, равным длине большой, то всё сходится: Да и вроде как, есть такая фигура - эпициклоида, которую описывает катящаяся без проскальзывания окружность: Однако, всё не так просто. Обратите внимание, что вопрос состоит в то

Приветствую Вас, уважаемые Читатели! Сегодня я хочу рассказать Вам об одном удивительном случае, которые произошел в штате Нью-Йорк в 1992 году на американском аналоге нашего Единого ГосЭкзамена - SAT (про него я уже писал несколько раз на своем канале). В результате недосмотра местных чиновников от образования, комиссии пришлось переоценить почти 300 000 результатов экзамена.

Примечательно, что ошибку заметили всего три студента, апелляции которых и привели к восстановлению справедливости. Итак, одна из задач экзамена заключалась в следующем:

Вопрос: сколько раз повернется малая окружность вокруг центра, пока не вернется в прежнюю точку?

Ответ, который сам собой напрашивался - 3 раза. Действительно. если представить, что малая окружность прокатывается по отрезку прямой, равным длине большой, то всё сходится:

-2

Да и вроде как, есть такая фигура - эпициклоида, которую описывает катящаяся без проскальзывания окружность:

Источник: https://upload.wikimedia.org/wikipedia/commons/a/ae/EpitrochoidOn3-generation.gif
Источник: https://upload.wikimedia.org/wikipedia/commons/a/ae/EpitrochoidOn3-generation.gif

Однако, всё не так просто. Обратите внимание, что вопрос состоит в том, "сколько раз вокруг своей оси" повернется малая окружность. Если бы речь шла о вращении вокруг большой окружности, то ответ "3" был бы правильным.

Давайте, например, повращаем окружности одинакового радиуса:

-4

Кривая линия, образуемая точкой касания, описывает кардиоиду, но сама окружность оборачивается вокруг своей оси два раза (первый раз между II и III). Напрашивается вывод: количество оборотов вокруг центра равно соотношению радиусов окружностей + 1.

Действительно, посмотрим на случай, когда один из радиусов в четыре раза больше другого:

Линии появляются, когда малая окружность совершает один оборот. Как понятно из видео, сделано целых 5 оборотов.

Проводя аналогию с исходной задачей, делаем вывод, что правильного ответа на экзамене просто не предлагалось!

Выпуск New York Times от 25 мая 1982 года с материалом об ошибке на экзамене. Источник: https://s1.nyt.com/timesmachine/pages/1/1982/05/25/160672_360W.png?quality=75&auto=webp&disable=upscale
Выпуск New York Times от 25 мая 1982 года с материалом об ошибке на экзамене. Источник: https://s1.nyt.com/timesmachine/pages/1/1982/05/25/160672_360W.png?quality=75&auto=webp&disable=upscale

Когда трое школьников подали апелляцию с такого рода объяснениями, экзаменаторам пришлось признать свою ошибку: правильный ответ был - 4 раза! После этого в течение 10 дней всем 300 000 сдающих результаты были изменены. Как Вам такая задача? Пишите в комментариях!

Математическое образование в России и за рубежом