Найти в Дзене
Математика не для всех

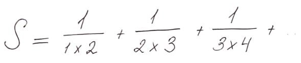
Вот такую задачу решали выпускники Кембриджа в 1802 году. Справитесь ?

Помните, я рассказывал про задачу, которая предлагалась на вступительных экзаменах в Оксфорд в 2017 году? Так вот, сегодня просторах интернета откопал задачку, которую должны были решать уже выпускники знаменитого университета...но в 1802 году! Предлагаю Вам подумать над её решением. Поехали!

Источник: https://avatars.mds.yandex.net/get-zen_doc/225901/pub_5ee5091b7036ec19360e71c4_5ee50c967036ec19360e7206/scale_1200
Источник: https://avatars.mds.yandex.net/get-zen_doc/225901/pub_5ee5091b7036ec19360e71c4_5ee50c967036ec19360e7206/scale_1200
Напутствие: как решать эту задачу, решать только мне, простите за тавтологию. Можете предложить намного проще, пишите в комментариях!

Итак, в задаче требуется найти сумму бесконечного ряда из правильный дробей:

-2

Лично я в первую очередь решил описать каждую из дробей одинаковым набором коэффициентом. Очевидно, что каждая дробь из суммы имеет вид:

S2 - сумма первых двух и т.д.
S2 - сумма первых двух и т.д.

А вот дальше я применил горячо любимый мною метод неопределенных коэффициентов:

Можно и нужно проверить последнее равенство.
Можно и нужно проверить последнее равенство.

Его суть в том, что действительную рациональную дробь всегда можно представить в виде суммы простейших дробей. Для этого мы вводим коэффициенты А и B, перемножаем дроби и приводим подобные слагаемые. Получаем, что искомое представление возможно только при А=1 и B=-1. А теперь смотрите, что получается. Аннигиляция!

-5

В конце остается лишь выражение с k в знаменателе, которое при росте количества слагаемых суммы ожидаемо стремится к нулю, а ответ - к 1. Спасибо за внимание! Предлагайте свои способы решения в комментариях!

Математическое образование в России и за рубежом

1. Тест по математике из американского ЕГЭ.

2. Британский ЕГЭ по математике.

3. Китайский ЕГЭ по математике (часть 1)

  • TELEGRAM, VKONTAKTE и Facebook - там я публикую не только интересные статьи, но и математический юмор и многое другое.