Добавить в корзинуПозвонить
Найти в Дзене

Decision Tree в Машинном обучении простыми словами

Дерево решений (решающее дерево) – это инструмент прогнозного моделирования, применяемого в ряде различных областей. Как правило, они строятся с помощью алгоритмического подхода, который определяет способы разделения набора данных на основе различных условий. Это один из наиболее широко используемых и практичных методов Контролируемого обучения (Supervised Learning). Деревья решений – это непараметрический метод обучения с учителем, используемый как для Классификации (Classification), так и для задач Регрессии (Regression). Цель состоит в том, чтобы создать модель, которая предсказывает значение Целевой переменной (Target Feature), изучая простые правила принятия решений, выведенные из характеристик данных. Правила принятия решений обычно имеют форму операторов if-then-else. Чем глубже дерево, тем сложнее правила и точнее модель. В дереве решений условиями называют узлы-разветвлений:\ Прежде чем мы углубимся, давайте познакомимся с некоторыми терминами: Вступление Дерево решений – это
Оглавление
7 условий-узлов дерева разного уровняФото: Unsplash@cristina_gottardi
7 условий-узлов дерева разного уровняФото: Unsplash@cristina_gottardi

Дерево решений (решающее дерево) – это инструмент прогнозного моделирования, применяемого в ряде различных областей. Как правило, они строятся с помощью алгоритмического подхода, который определяет способы разделения набора данных на основе различных условий. Это один из наиболее широко используемых и практичных методов Контролируемого обучения (Supervised Learning). Деревья решений – это непараметрический метод обучения с учителем, используемый как для Классификации (Classification), так и для задач Регрессии (Regression). Цель состоит в том, чтобы создать модель, которая предсказывает значение Целевой переменной (Target Feature), изучая простые правила принятия решений, выведенные из характеристик данных.

Правила принятия решений обычно имеют форму операторов if-then-else. Чем глубже дерево, тем сложнее правила и точнее модель. В дереве решений условиями называют узлы-разветвлений:\

7 условий-узлов дерева разного уровня
7 условий-узлов дерева разного уровня

Прежде чем мы углубимся, давайте познакомимся с некоторыми терминами:

  • Экземпляры – векторы Признаков (Feature), атрибутов, которые определяют пространство ввода
  • Атрибут – количество, описывающее экземпляр
  • Концепция – функция, которая сопоставляет ввод с выводом
  • Целевая концепция – функция, которую мы пытаемся найти, то есть фактический ответ
  • Класс гипотез – набор всех возможных функций.
  • Выборка (Sample) – набор входных данных в паре с меткой, которая является правильным выходом. Также известна как Тренировочные данные (Train Data)
  • Концепция кандидата – концепция, которая, по нашему мнению, является целевой
  • Тестовые данные (Test Data) – аналогичен набору для обучения и используется для тестирования концепции кандидата и определения его производительности

Вступление

Дерево решений – это древовидный граф с узлами, представляющими место, где мы выбираем атрибут и задаем вопрос; ребра представляют собой ответы на вопрос; а листья представляют собой фактический результат или метку класса.

Деревья решений классифицируют примеры, сортируя их сверху вниз по от корня до листьев, причем листовой узел обеспечивает классификационное решение. Каждый узел в дереве соответствует одному из возможных ответов на вопрос. Этот процесс является рекурсивным по своей природе и повторяется для каждого поддерева.

Пример. Предположим, мы хотим поиграть в бадминтон в определенный день, скажем, в субботу. Как мы решим, играть или нет? Допустим, мы выходим на улицу и проверяем, жарко или холодно, проверяем скорость ветра и влажность, погоду: солнечно ли, облачно или дождливо. Мы принимаем во внимание все эти факторы.

Итак, мы рассчитываете все эти условия за последние десять дней и формируем справочную таблицу.

-3

Но что, если погода в субботу не соответствует ни одной из строк в таблице? Это может быть проблемой. Дерево решений было бы отличным способом представления таких данных, потому что оно учитывает все возможные пути, которые могут привести к окончательному решению, следуя древовидной структуре.

-4

Это обученное дерево решений. Каждый узел представляет атрибут, а ветвь каждого узла – его результат. Наконец, окончательное решение принимается на листьях. Если признаки являются Вещественными числами (Continuous Number), внутренние узлы проверят значение признака относительно порогового значения.

-5

Общий алгоритм для дерева решений можно описать следующим образом:

  • Выберите лучший атрибут, который разделяет наблюдения на группы
  • Задайте соответствующий вопрос
  • Следуйте по путям ответов
  • Вернитесь к шагу 1

Выразительность деревьев решений

Деревья решений могут иметь в качестве узлов булевую пару значений "Да / Нет". Давайте воспользуемся ими для изучения трех логических концепций 'AND, OR и XOR'. Посмотрим, как строится дерево для первого оператора "И" (AND). Согласно логике оператора, любое значение False в столбцах A и B генерирует результат False, и только пара True генерирует положительный результат. Конвертируя таблицу в деревья, мы рассматриваем два варианта развития событий: то A первично, то B, ибо такова иерархическая природа дерева решений. Посвятите одну-две минуты, чтобы проникнуться простой логикой дерева, дублирующей таблицу.

Дерево решений для оператора "И" (AND)
Дерево решений для оператора "И" (AND)

Есть две кандидат-концепции для создания дерева решений, которые подчиняются логике "И". Точно так же создается дерево решений, которое подчиняется логике "ИЛИ" (OR).

-7

А вот так выглядит дерево решений согласно логике "Исключительное ИЛИ" (XOR). На сей раз достаточно одного дерева, потому что значения корневого A еще не определяет конечный ответ:

-8

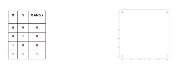
Границы дерева

Деревья решений делят пространство признаков на прямоугольники или гиперплоскости с параллельными осями. Давайте рассмотрим простую операцию "И" над двумя переменными. Предположим, что X и Y являются координатами по осям x и y соответственно, и нанесем возможные значения X и Y. На анимации изображено формирование границы принятия решения по мере принятия каждого решения:

-9

Мы видим, что по мере принятия каждого решения пространство функций делится на меньшие прямоугольники, и больше точек данных классифицируются правильно.

Дерево решений и Scikit-learn

Дерево решений можно построить с помощью модуля SkLearn. Для начала импортируем необходимые библиотеки:

-10

Мы будем использовать классический набор данных о подвидах цветка Ириса.

-11

Датасет (Dataset) содержит информацию растениях в виде следующих признаков:

  • Длина чашелистика
  • Ширина чашелистика
  • Длина лепестка
  • Ширина лепестка
-12

Выделяют три класса растений:

-13
  • Ирис щетинистый (Iris Setosa)
  • Ирис разноцветный (Iris Versicolour)
  • Ирис виргинский (Iris Virginica)

Задача – предсказать подвид ириса по признакам. Извлечем данные так, чтобы наполнить столбцы данными и назвать их определенным образом:

-14

Датасет совсем крошечный:

-15

Всегда полезно взглянуть на данные в исходном состоянии:

-16

В ячейке ниже показаны 4 атрибута первых четырех растений ириса:

-17

Теперь, когда мы извлекли атрибуты данных и соответствующие метки, мы разделим их, чтобы сформировать наборы данных для обучения и тестирования. Для этой цели мы будем использовать функцию train_test_split() , которая принимает атрибуты и метки в качестве входных данных и создает наборы Тренировочных (Train Data) и Тестовых данных (Test Data):

-18

Мы установим критерий «энтропия», который параметризует способ разделения данных на тренировочную и учебную части:

-19

Обучим классификатор:

-20

Система отображает настройки классификатора по умолчанию:

-21

Теперь используем обученный классификатор, чтобы предсказать подвиды ириса для тестового набора:

-22

В реальности такого высокого результата, конечно, приходится добиваться:

-23

Чем больше значение min_sample_split , тем сглаженнее границы решения и маловероятнее Переобучение (Overfitting). Посмотрим, как Модель (Model) представляет себе дерево решений:

-24

-25

Чтобы создать первое разветвление, система предположила пограничное значение X[3] ≤ 0.8 (ширина лепестка меньше 0,8 сантиметра). SkLearn, вероятно, указывает, как выглядит типичный представитель своего подвида в строках value. Число наблюдений в каждом из двух разветвлений, как вы уже наверняка заметили, равно числу наблюдений родительской ветки.

Ноутбук, не требующий дополнительной настройки на момент написания статьи, можно скачать здесь.

Автор оригинальной статьи: Shubham

Понравилась статья? Поддержите нас, поделившись статьей в социальных сетях и подписавшись на канал. И попробуйте наши курсы по Машинному обучению на Udemy.

Леса
8465 интересуются