Добавить в корзинуПозвонить
Найти в Дзене
Математика не для всех

Очень быстрый способ поделить многочлен, о котором расскажут только в ВУЗе

Приветствую Вас, уважаемые Читатели! Очередную свою статью я хочу посвятить схеме Горнера - способу деления произвольного многочлена на многочлен первой степени. который выигрывает в простоте и скорости относительно традиционного деления уголком. Кроме того метод Горнера позволяет быстро находить значение многочлена в произвольной точке. Поехали!

Британский математик Уильям Горнер. Источник: https://i.pinimg.com/originals/89/b6/fb/89b6fbd7c62ae5b80a09b2ac756277e7.jpg
Британский математик Уильям Горнер. Источник: https://i.pinimg.com/originals/89/b6/fb/89b6fbd7c62ae5b80a09b2ac756277e7.jpg

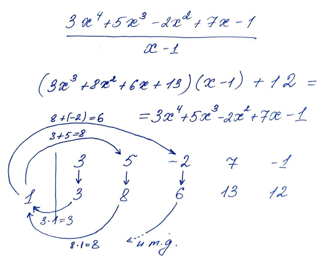
Итак, начнем с простого примера на конкретных числах, а уже потом приведем простое доказательство:

-2

Здесь я показал порядок вычисления коэффициентов стрелками. Сверху выписаны коэффициенты делимого многочлена. Первый из них сносится вниз без изменений (цифра 3 во первом столбце). Следующий коэффициент во втором ряду равен 3*1 + 5 = 8 и т.д. В итоге быстро получаем разложение + значение многочлена в точке 1 (проверьте!).

Но как же эта чудная схема работает? Для любителей докопаться до истины я расписал её простое доказательство:

Надеюсь, что я достаточно подробно описал весь процесс! На самом деле способ ОЧЕНЬ быстрый и особенно помогает при подборе целочисленных корней уравнения высших степеней. Спасибо за внимание!

Читайте также: