Найти в Дзене
Математика в школе

Сложная на вид, но легкая в решении система неравенств из 20 задания ОГЭ

Здравствуйте, уважаемые читатели. Рассмотрим решение системы неравенств, которая на первый взгляд кажется сложной.

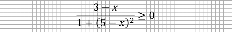
В этой системе, каждое неравенство будем решать отдельно. Решим первое неравенство:

-2

Дробь больше нуля, когда числитель и знаменатель имеют одинаковые знаки, т.е. оба положительны или отрицательны. Но, в знаменатели дроби есть выражение, которое возведено в квадрат, а это выражение всегда положительно или равно нулю. Значит знаменатель дроби положительный.

-3

Из этого получаем, что числитель в этой дроби должен быть положительным или равным нулю.

При делении на отрицательное число, знак неравенства меняется на противоположный
При делении на отрицательное число, знак неравенства меняется на противоположный

Решим из системы второе неравенство:

-5

Выпишем ответ из решения первого неравенства и второго в систему:

-6

Отметим решение этой системы на числовой:

-7

Так как знаки неравенства не строгие, то точки делаем "закрашенные". Решением системы неравенств будет пересечение множеств.

-8

Спасибо что дочитали. Вы меня очень поддержите, если поставите лайк и подпишитесь на мой блог.

-9