Добавить в корзинуПозвонить
Найти в Дзене
Робототехника

Что такое "глитчи" и с чем их едят.

Современная электроника не стоит на месте и если технологический предел мы уже достигли, то схематеника постоянно набирает обороты выдавая новые решения.
Когда я учился в ВУЗе в конце 90-ых такой термин не использовали, тогда это было просто как состояние неопределенности возникающие в результате соревнований. Сегодня используется термин "глитч". При сборке простых схем с прозрачной логикой они

Современная электроника не стоит на месте, и если технологический предел мы уже достигли, то схемотехника постоянно набирает обороты, выдавая новые решения.

Когда я учился в ВУЗе, в конце 90-ых, такой термин не использовали, тогда это было просто как состояние неопределенности, возникающие в результате соревнований сигналов. Сегодня используется термин "глитч". При сборке простых схем с прозрачной логикой они вряд ли возникнут, но вот в сложных схемах, носящих секвенциальный характер (попросту схемы блочного типа), такое явление может проявляться, причем в разные моменты и при разных условиях. На самом деле это одна из проблем современной электроники, так как на этапе проектирования, особенно с использованием блочного моделирования, выявить такие моменты достаточно сложно.

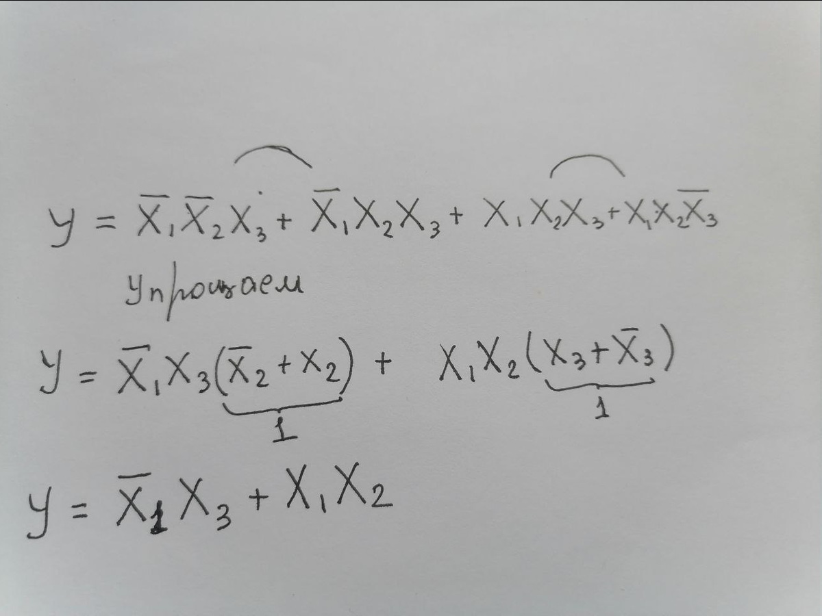
Разберем простой пример, после которого вам станет понятно, как это работает.

Предположим, у нас есть простая таблица истинности:

Рисунок 1. Таблица истинности.
Рисунок 1. Таблица истинности.

На основе этой таблицы напишем формулу :

Рисунок 2. Формула преобразования
Рисунок 2. Формула преобразования

Теперь по этой формуле рисуем схему.

Рисунок 3. Схема принципиальная
Рисунок 3. Схема принципиальная

Нечего тут сложного нет, схема достаточно простая. Но обратите внимание, что сигнал от X1 может влиять на выход как в прямом значении, так и инверсном. При этом инверсный сигнал будет иметь большую задержку, пока дойдет до выхода. Как это проявляется.

1. Предположим, что X1, X2 и X3 имеют значения, равные 1-це.

Тогда результат будет таким,

Рисунок 4. Статическое состояние.
Рисунок 4. Статическое состояние.

2. В определенный момент меняем состояние с 1 1 1 на состояние 0 1 1, то есть X1 сменил своё состояние на 0.

В этот момент стоит обратить внимание на процесс динамически, а именно: Все элементы схему будут менять свое состояние одновременно.

Так как X1 влияет на DD1 и DD2, то он будет влиять на DD3 и DD4 соответственно тоже.

Рисунок 5. Переходный процесс.
Рисунок 5. Переходный процесс.

В силу того, что все логические элементы состоят из транзисторов, а транзистор в режиме работы ключа требует времени на смену состояния, то смена состояния логического элемента будет занимать время. Обратите внимание на рисунок 5. элементы DD1 и DD3. Внутри них пошли процессы, и в какой-то момент(он не определен), выход изменит своё состояние. В это время DD2 и DD4 еще "не знают о новых входах."

Получается, что в следующий момент времени:

Рисунок 6. Продолжение динамического процесса
Рисунок 6. Продолжение динамического процесса

Смотрите рисунок 6 элементы DD1 и DD3 уже переключились, а вот DD2 и DD4 только начинают процесс переключения. Причем в данный момент на входе DD4 у нас два ноля. Если посмотреть реализацию элемента "И" на базе ТТЛ, то схема будет содержать 4 последовательных базы транзистора. Рисунок 7.

Рисунок 7 Основные элементы задержки. Принципиальная схема элемента "И"
Рисунок 7 Основные элементы задержки. Принципиальная схема элемента "И"

Видим, что как минимум 4 элемента будут вносить задержку в переключения элемента. Подробнее это было рассмотрено в переходных процессах.

Итак, подходим к самому интересному. В следующий момент

Рисунок 8.  Короткий глитч от инвертора.
Рисунок 8. Короткий глитч от инвертора.

В предпоследний момент DD4 успевает изменить своё состояние на "0", как тут же на входе появляется уже устойчивая "1".

Как итог, получим импульсный провал напряжения на выходе, примерно как на рисунке.

-9

Этот провал может никак не повлиять на работу, а может очень сильно повлиять.

Подобное явление встречается и в релейных схемах, и в работе элементов с памятью. Если есть вопросы, задавайте.

----------------------------------------------------------------------

Кроме того, Вам могут быть полезны статьи:

🔹 Гид по электронике .

🔹 Словарь терминов электроники .

Если информация оказалось знакомой, то можешь пройти Небольшой тест на знание азов электроники .

------------------------------------------------------------

А также подписывайтесь в группу 🔹 Вконтакте и 🔹 Телеграм-канал .


Наука
7 млн интересуются