Найти в Дзене

Поправка к предыдущей статье!

В прошлой статье в примере про правило двух калибров, я немного запутал сам себя и посчитал среднее пробитие ИС-а за калибр его снаряда. Спасибо читателю за внимательность и за то что указал на ошибку.
Попробую сделать перерасчет.
Тогда, возьмем для наглядности СУ-152 с калибром снаряда соответственно 152 мм. на стоковом стволе, и поставим против нее тот же Sturer Emil с броней во лбу 75 мм.
С

В прошлой статье в примере про правило двух калибров, я немного запутал сам себя и посчитал среднее пробитие ИС-а за калибр его снаряда. Спасибо читателю за внимательность и за то что указал на ошибку.

Попробую сделать перерасчет.

Тогда, возьмем для наглядности СУ-152 с калибром снаряда соответственно 152 мм. на стоковом стволе, и поставим против нее тот же Sturer Emil с броней во лбу 75 мм.

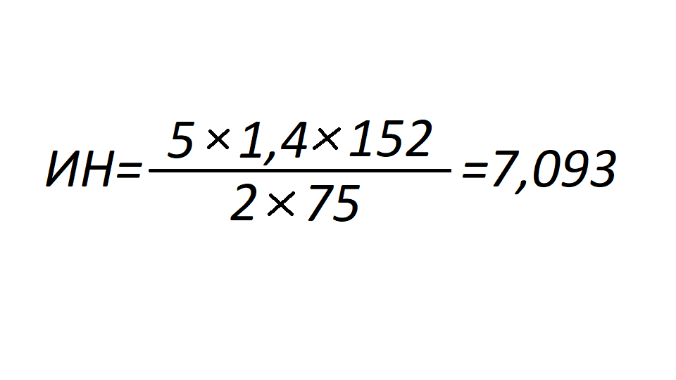
С этими вводными уравнение будет выглядеть уже так:

Получается, что итоговая нормализация в нашем случае будет составлять примерно 7.1 градуса, а не стандартные 5.

Что ж, это уже хоть какой то положительный момент.

Прошу прощения за допущенную неточность в статье (вот ссылка на нее) и еще раз спасибо моему читателю.

Всем пока, и всего вам доброго.