Добавить в корзинуПозвонить
Найти в Дзене
In ФИЗМАТ

Проверка развернутой части ЕГЭ математика профильный уровень 2023 год. ФИПИ. №12. Уравнения. Типичные ошибки.

Сначала пару слов о самом задании. В методических рекомендациях указано, что входить будут логарифмические, тригонометрические и показательные уравнения. А там - что попадется. Сам критерий (я уже выкладывала в статьях про ЕГЭ) выглядит таким образом: Под верными ответами подразумевается не просто написать слово "ответ" и числа, которые могут быть правильными, но и безошибочное, логически верное решение. Во второй части задания с отбором корней также просто написать какие корни подойдут - не прокатит. Нужно именно показать, что корни подходят. Отбор корней может быть произведён любым способом: с помощью числовой окружности, графика, решения двойных неравенств и т.п. При отборе корней с помощью числовой (тригонометрической) окружности на числовой окружности должно быть: отмечены и обозначены концы числового отрезка, выделена дуга, отмечены и обозначены корни, принадлежащие данному отрезку. На окружности могут быть отмечены вспомогательные числа, принадлежащие числовому отрезку Пр

Сначала пару слов о самом задании. В методических рекомендациях указано, что входить будут логарифмические, тригонометрические и показательные уравнения. А там - что попадется.

Сам критерий (я уже выкладывала в статьях про ЕГЭ) выглядит таким образом:

Под верными ответами подразумевается не просто написать слово "ответ" и числа, которые могут быть правильными, но и безошибочное, логически верное решение.

Во второй части задания с отбором корней также просто написать какие корни подойдут - не прокатит. Нужно именно показать, что корни подходят.

Отбор корней может быть произведён любым способом: с помощью числовой окружности, графика, решения двойных неравенств и т.п. При отборе корней с помощью числовой (тригонометрической) окружности на числовой окружности должно быть: отмечены и обозначены концы числового отрезка, выделена дуга, отмечены и обозначены корни, принадлежащие данному отрезку. На окружности могут быть отмечены вспомогательные числа, принадлежащие числовому отрезку

Прим. Далее будем смотреть и анализировать примеры работ с реального экзамена (которые приведены составителями критериев). К сожалению, качество картинок оставляет желать лучшего, но, что дали, с тем и работаем.

Я не просто так выделила фрагмент выше. Вот пример работы одного из выпускников:

-2

Ответы получены верные. Но человек получил 1 балл - пункт б) засчитан не был. "Почему?" - спросите вы. А все просто и максимально обидно. На чертеже не отмечен нужный корень.

"Ладно, - скажете вы, - человек просчитал корни алгебраически. И фиг с ним, с чертежом"

Я бы согласилась, но человек остановился только на корнях в промежутке. А нужно было показать, что при n = 5 мы вылетаем за пределы промежутка и далее перебор можно не продолжать.

То есть, если Вы просчитываете корни не указывая их на чертеже (не рисуя чертеж вообще) нужно обязательно показывать, что на определенном этапе вы вылетаете за промежуток и перебор окончен. Тогда выбор считается обоснованным.

Вот пример верно выполненного задания:

-3

Товарищ отметил корни переменными t1 и t2 на чертеже. И получил 2 балла. А в остальном работы не отличаются друг от друга. Обидно, правда?

-4

Здесь та же ситуация. Человек просчитал только корни в промежутке. Показал бы, что при k = 1 и при k = 4 вылетаем за промежуток - было бы 2 балла. А так - один балл.

-5

Тут немного иная ситуация. Человек вывел корни нужные, но в процессе счета посчитал неверно. Вместо нужных -7/6 получил -11/6. И несмотря на то, что итог все равно верен, пункт б) не засчитан.

Еще один интересный пример косяка:

-6

Товарищ объединил дискриминант и корень из дискриминанта. Я не просто так всегда в своих работах пишу их раздельно.

Запись в этой работе буквально говорит, что дискриминант находится по формуле с корнем, что неверно.

Нужно было сделать так:

-7

Кроме того тут опять же не доказаны корни (нет "вылета" за промежуток)

Пример "нулевой" работы:

-8

Человек потерял минус при применении формулы приведения. Это не относится к вычислительной ошибке. Это конкретно не знание формулы (или неумение найти ответ по окружности). Поэтому все оценилось в круглый ноль.

Еще пример:

-9

Пункт б) не выполнен. Нет решения от слова совсем, да и 4п не входит в число корней уравнения (почему его вписали я не знаю). Это всего лишь граница отрезка, не более.

Еще один обидный вариант ошибки - невнимательность.

-10

Ошибка 1: потеряна 2 в записи ответа. Должно быть x = п + 2па

Ошибка 2: включен корень 5п, который вылетел за пределы промежутка из условия (до 4п).

А вот пример неверно решенного уравнения, но человек все равно получил 1 балл.

-11

Товарищ неправильно посчитал t2. Но весь ход решения, оформление, отбор корней верен. Но из-за ошибки в счете числа не те. В этом случае засчитывают 1 балл (именно в счете!)

-12

Вот ошибка в выводе корней квадратного уравнения. Это не вычислительная ошибка. Человек забыл умножить знаменатель на a. Это уже считается незнанием формул и мы имеем 0.

Еще пример "незасчета"

-13

Человек при выходе из логарифма возвел 4 в квадрат путем умножения 4*2 (невнимательность, привет. Во второй строчке посчитано то правильно). Это не засчитывается, так как не считается вычислительной ошибкой. И снова круглый 0.

То есть еще раз - вычислительная ошибка - это, например, 3 + 5 = 10.

Подведу некоторый итог по этим заданиям.

1) Внимательность, друзья. Она крайне важна.

2) Не нужно изобретать своих правил записи (как в примере с дискриминантом)

3) Обоснование решения. Изображайте все корни на окружности, показывайте, что другие корни при переборе вылетают за границы. Проверяйте себя!

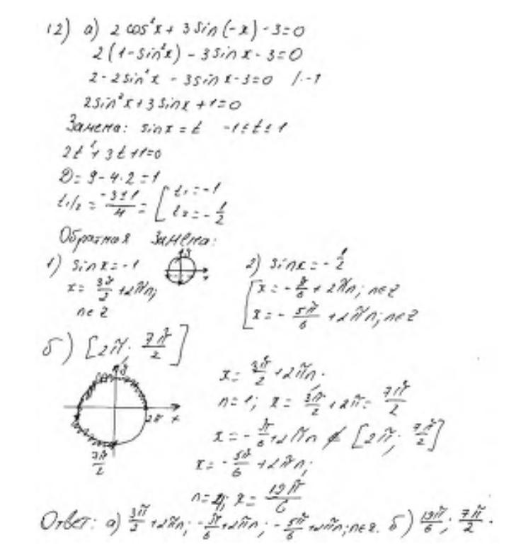
Приведу пример правильной записи уравнения и корней:

-14
-15
-16