Добавить в корзинуПозвонить
Найти в Дзене

№ 467 из учебника по алгебре для 7-го класса (автор Ю. Н. Макарычев)

Умножение одночленов Уважаемые мамы и папы, дедушки и бабушки! На примерах решений № 467 из 8-го издания учебника по алгебре для 7-го класса авторов Ю. Н. Макарычева, Н. Г. Миндюк, К. И. Нешкова и С. Б. Суворова под редакцией С. А Теляковского предлагаю вспомнить умножение одночленов. Выполните умножение: Решения примеров: Для решения этих примеров надо использовать правило умножения степеней с одинаковыми основаниями. У чисел 4 и 2 наибольший общий делитель равен 2, а у чисел 3 и 9 – 3. Пользуясь основным свойством дроби мы сократили числители и знаменатели множителей на их наибольшие общие делители. В примерах «д» и «е» не расписаны сложения степеней, кроме того, в примере «е» не расписано сокращение одинакового числителя и знаменателя – просто сразу дан ответ.
Оглавление

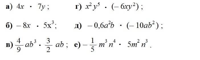
Умножение одночленов

Уважаемые мамы и папы, дедушки и бабушки!

На примерах решений № 467 из 8-го издания учебника по алгебре для 7-го класса авторов Ю. Н. Макарычева, Н. Г. Миндюк, К. И. Нешкова и С. Б. Суворова под редакцией С. А Теляковского предлагаю вспомнить умножение одночленов.

Выполните умножение:

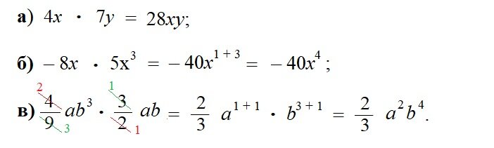
Решения примеров:

Для решения этих примеров надо использовать правило умножения степеней с одинаковыми основаниями.

-2

У чисел 4 и 2 наибольший общий делитель равен 2, а у чисел 3 и 9 – 3. Пользуясь основным свойством дроби мы сократили числители и знаменатели множителей на их наибольшие общие делители.

-3

В примерах «д» и «е» не расписаны сложения степеней, кроме того, в примере «е» не расписано сокращение одинакового числителя и знаменателя – просто сразу дан ответ.