Найти в Дзене
Festina lente

Разбор примера на тождественные преобразования алгебраических выражений #1

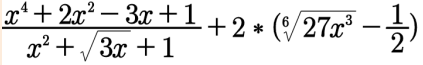
Преобразования алгебраических выражений встречаются везде. Ведь часто и в математике, и в физике при решении определенной задачи мы получаем огромное и сложное алгебраическое выражение, с которым неудобно работать. Поэтому мы должны уметь преобразовывать подобные "крокодильчики", чтобы потом с ними было легче работать. Итак, вот наш пример. Для удобства обозначим первую дробь A, а выражение в скобках B. Таким образом наше выражение примет вид: A+2B В знаменателе выражения A (первой дроби) есть X под корнем. Следовательно, X больше либо равен нулю X≥0. Теперь преобразуем выражение А: Выражение x⁴+2x²+1 в числителе мы свернули в полный квадрат по формуле a²+2ab+b²=(a+b)² Дальше мы видим, что знаменатель содержит √3x, а в числителе есть просто 3x. Занесем 3x под корень (имеем право это сделать, так как сначала прописали условие, что x≥0). Получается 3x=(√3x)² Итого в числителе мы получили (x²+1)²-(√3x)². Разложим на множители по формуле a²-b²=(a-b)(a+b). Сократим одинаковые выражения в чи
Оглавление

Преобразования алгебраических выражений встречаются везде. Ведь часто и в математике, и в физике при решении определенной задачи мы получаем огромное и сложное алгебраическое выражение, с которым неудобно работать. Поэтому мы должны уметь преобразовывать подобные "крокодильчики", чтобы потом с ними было легче работать.

Итак, вот наш пример. Для удобства обозначим первую дробь A, а выражение в скобках B. Таким образом наше выражение примет вид:

A+2B

В знаменателе выражения A (первой дроби) есть X под корнем. Следовательно, X больше либо равен нулю X≥0.

Теперь преобразуем выражение А:

-2

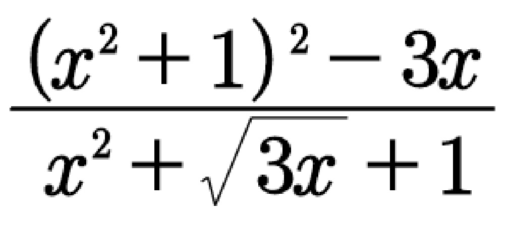
Выражение x⁴+2x²+1 в числителе мы свернули в полный квадрат по формуле a²+2ab+b²=(a+b)²

Дальше мы видим, что знаменатель содержит √3x, а в числителе есть просто 3x. Занесем 3x под корень (имеем право это сделать, так как сначала прописали условие, что x≥0). Получается 3x=(√3x)²

Итого в числителе мы получили (x²+1)²-(√3x)². Разложим на множители по формуле a²-b²=(a-b)(a+b).

-3

Сократим одинаковые выражения в числителе и знаменателе.

Итого выражение А примет вид:

-4

Теперь поработаем с выражением B.

Воспользовавшись формулой:

-5

Преобразуем выражение под корнем.

Получим.

-6

И теперь посчитаем всё выражение.

-7

И получим ответ:

-8

Целиком получаются такие преобразования:

-9