Найти в Дзене

1971 год. XXXIII чемпионат СССР. Высшая лига

В 1971 году Высшая группа класса А стала называться Высшей лигой класса А. Привычное всем, более лаконичное название "Высшая лига", будет введено уже в следующем году. Количество команд было уменьшено, теперь их стало шестнадцать. Выбыли занявшие в прошлом году последние места Спартак (Орджоникидзе), Торпедо (Кутаиси) и Черноморец (Одесса), вместо них стали играть Карпаты (Львов) и Кайрат (Алма-Ата). Чемпионат открывался 4 апреля матчем из седьмого тура. В Ворошиловграде встретились Заря и ЦСКА. Местная команда, забив два безответных гола, одержала победу. Все игры первого утра прошли 8 апреля, а второго – 12-го. В обоих турах смог выиграть только донецкий Шахтер. Но у Зари было на очко больше, команда после стартового матча сыграла вничью со Спартаком, а затем победила дома минчан. Третий тур растянулся почти на неделю, матчи прошли с 17 по 21 апреля. Четвертый тур был сыгран чуть быстрее, 23-25 апреля. Без поражений шло четыре команды: Заря, киевское и московское Динамо, Нефтчи. Но б

В 1971 году Высшая группа класса А стала называться Высшей лигой класса А. Привычное всем, более лаконичное название "Высшая лига", будет введено уже в следующем году.

Количество команд было уменьшено, теперь их стало шестнадцать. Выбыли занявшие в прошлом году последние места Спартак (Орджоникидзе), Торпедо (Кутаиси) и Черноморец (Одесса), вместо них стали играть Карпаты (Львов) и Кайрат (Алма-Ата).

Чемпионат открывался 4 апреля матчем из седьмого тура. В Ворошиловграде встретились Заря и ЦСКА. Местная команда, забив два безответных гола, одержала победу. Все игры первого утра прошли 8 апреля, а второго – 12-го. В обоих турах смог выиграть только донецкий Шахтер. Но у Зари было на очко больше, команда после стартового матча сыграла вничью со Спартаком, а затем победила дома минчан.

Третий тур растянулся почти на неделю, матчи прошли с 17 по 21 апреля. Четвертый тур был сыгран чуть быстрее, 23-25 апреля. Без поражений шло четыре команды: Заря, киевское и московское Динамо, Нефтчи. Но бакинцы трижды сыграли вничью, поэтому стояли чуть позади тройки.

В начале мая прошло сразу два тура. 2-го состоялись матчи пятого, а 6 мая – шестого. Киевляне с минимальным счетом обыграли Зарю и поднялись на верхнюю строчку таблицы. Неожиданно крупно дома Арарату уступили тбилисцы.

положение команд на 6 мая
положение команд на 6 мая

Только первую победу в чемпионате 14 мая одержал ростовский СКА, сумевший одолеть ташкентский Пахтакор дома со счетом 4:2. 20 мая в Москве киевляне обыграли Спартак и утвердились в роли лидера. Долгое время они шли без поражений.

На второй строчке прочно стал Арарат. Потерпев поражение во втором туре, далее ереванцы шли, набирая очки (одно или два) в каждой игре.

После двух побед на старте резко сбавил обороты Шахтер. В следующих десяти матчах горняки проиграли девять раз, ни разу не забив в этих матчах. Только 19 мая, почти в середине этой десятиматчевой серии они смогли нанести поражение дома ростовчанам, 1:0.

Очень много ничьих было сыграно в матчах весенних и начала лета. В шести своих матчах миром разошлись московские Динамо и Торпедо, еще четыре команды это сделали по пять раз.

положение команд на 12 июня
положение команд на 12 июня

В концовке первого круга не сбавил оборотов Арарат. Сначала они обыграли дома Зарю, через некоторое время в гостях смогли взять верх над московским Динамо. Между этими играми они неожиданно армейцам Ростова. Перед этой игрой ростовчане также дома смогли обыграть Зенит и по итогам двух этих матчей покинуть, хоть и ненадолго, последнюю строчку таблицы.

Торпедо продолжало штамповать ничейные результаты, набрав таковых десяток за весь первый круг. Их антиподом в этом деле был Шахтер, который всего лишь раз поделил очки, как ни странно, но сделал это он не в игре с автозаводцами.

В двух завершающих матчах первого круга победы одержала Заря. Но команда слабо провела матчи во второй половине мая и июне, поэтому откатилась в середину таблицы.

Четыре поражения потерпело тбилисское Динамо, и что уже совсем удивительно, все они произошли у них дома. В гостях грузинские футболисты выиграли всего два раза, остальные матчи завершили ничьими, в том числе игру в Киеве.

Дебютанты чемпионата смотрелись более-менее сносно, сумев расположиться в середине лета вдалеке от опасной зоны. Но плотность в середине была достаточной, чтобы любая команда могла незаметно спуститься и оказаться в борьбе за выживание.

Очень неожиданным в нижней части таблицы оказалось нахождение Спартака, сумевшего в первом круге взять верх всего лишь в двух матчах. Но видимо на первый план у команды вышло выступление в Кубке СССР, там спартаковцы вышли уже в полуфинал и готовились к матчу с бакинцами. В другом матче встретиться предстояло ростовчанам и столичным торпедовцам.

положение команд на 11 июля
положение команд на 11 июля

В полуфиналах кубковых баталий победы одержали Спартак (5:0) и ростовский СКА (3:1). Теперь 7 августа им предстояло решить вопрос о победителе в финале.

Между тем, Спартак начал второй круг с двух побед и чуть поднялся в таблице, а СКА продолжал стоять на самом ее дне.

3 августа в Киеве встретились Динамо и Арарат. Местная команда одержала победу и оторвалась от конкурента.

Переносов становилось, как в прежние годы, все больше и больше. Это затрудняло определять, кто с кем и за что борется в таблице, а следовательно и в чемпионате.

В финале кубка Спартаку и СКА пришлось встретиться дважды. Первый матч завершился ничейным итогом, причем, москвичи его достигли, забив гол на 90-й минуте. Во втором матче единственный гол спартаковцев оказался победным. Теперь можно было сосредотачиваться на чемпионате, особенно это касалось армейцев. И в первом же матче после финала ростовчане победили львовские Карпаты со счетом 3:0. Это позволило хотя бы подтянуться к командам, которые шли в арьергарде таблицы. Но главные сражения за выживание были еще впереди.

Киевляне к концу августа практически оформили для себя пятое чемпионство. Отрыв был настолько велик, что вряд ли кто в здравом уме мог предсказать чье-либо вмешательство в борьбу за золото. А вот за призовые места разборки намечались очень серьезные. Кандидатов на 2-3 места было еще много. Это можно увидеть если посмотреть не только набранные очки, но и количество оставшихся матчей у команд.

положение команд на 19 августа
положение команд на 19 августа

В сентябре трем столичным командам предстояло еще вступить в борьбу в еврокубках: ЦСКА в Кубке чемпионов, Динамо – Кубке кубков, а Спартаку – в кубке УЕФА, который стал разыгрываться вместо Кубка ярмарок. Все это в итоге сказалось на набранных очках командами в чемпионате, а значит, и занятых ими местах.

К концу сентября наилучшие шансы завоевать серебро имел Арарат, сзади него расположились динамовцы Москвы и Тбилиси. Теоретически в число призеров могли войти Заря и Нефтчи, но им для этого потребовалось бы много везения, помимо большого старания во всех играх.

Внизу близкое к катастрофическому было положение у СКА и Пахтакора. Но у ташкентской команды были два матча в запасе в отличие от армейцев. Зенит, минское Динамо и Шахтер пытались подальше убежать от этой парочки.

28 сентября динамовцы Киева победили дома Карпаты и досрочно завоевали звание чемпионов СССР.

положение команд на 28 сентября
положение команд на 28 сентября

8 октября московское Динамо дома уступило одноклубникам из Тбилиси и практически лишилось шансов занять призовое место. 22 октября тбилисцы обыграли чемпионов, которые уже не слишком стремились набирать очки, но потерпели всего лишь второе поражение в чемпионате. До этого они проигрывали во Львове в конце июня.

3 ноября тбилисцы, сыграв дома вничью с Зарей, гарантировали себе медали, осталось не ясно только какие, Арарат шел на шаг впереди. Свои последние матчи в этом чемпионате оба южных клуба проводили дома. Арарат 8 ноября принимал московское Динамо, только недавно вышедшее в ¼ финала Кубка кубков, а тбилисцы 12 ноября играли со Спартаком, который к тому моменту неделей ранее закончил выступления в Кубке УЕФА, уступив дорогу португальской Витории Сетубал.

Оба матча южане выиграли, Арарат 2:0, а тбилисцы 3:0. Сначала завоевание серебра впервые праздновали в столице Армянской ССР, а четырьмя днями позже тбилисцы уже в девятый раз завоевали бронзовые медали.

Второй раз за всю историю чемпионатов СССР в тройке призеров не оказалось московских команд.

Борьба за выживание шла до последнего дня чемпионата. 5 ноября завершал чемпионат Шахтер. Их поражение в Ташкенте поставило под серьезный вопрос задачу невылета. Пахтакор после этого матча также набрал 24 очка, но у них оставался один несыгранный матч, а у СКА было на очко меньше, но играть оставалось еще две игры.

8 ноября ростовчане дома принимали киевлян и смогли забрать драгоценные для них два очка, обойдя Шахтер и Пахтакор. 9 ноября ташкентская команда обыграла дома Нефтчи и теперь обошла СКА. 12 ноября армейцы сумели набрать одно очко в матче с минским Динамо и по разнице мячей обойти Пахтакор, отправив того в первую лигу. Кроме Пахтакора и СКА, также с 26 очками финишировали ЦСКА и Зенит. Но лучшая разница мячей позволила им остаться в высшей лиге.

Двадцать матчей из тридцати завершило ничейным итогом московское Торпедо. Не намного от них по этому показателю отстал дебютант высшей лиги львовские Карпаты, которые во втором круге не смогли одержать ни одной победы. Большое общее количество ничьих было серьезным сигналом к применению мер для борьбы с этим явлением.

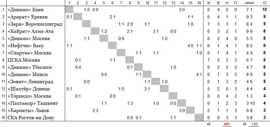
итоговая таблица
итоговая таблица
все матчи команд в том порядке, как были сыграны; жирным – дома
все матчи команд в том порядке, как были сыграны; жирным – дома

1972 год. XXXIV чемпионат СССР