Найти в Дзене
Стив Май

Уравнения в ОГЭ (ЕГЭ) или пара слов об ОДЗ

В ОГЭ (и ЕГЭ) уравнения занимают лидирующую позицию. Их там больше всего. Поэтому умение решать уравнения считается ключевым. Многие сейчас удивятся, но по факту выходит, что в рамках школьной программы мы учимся решать меньше десятка уравнений. Но как же так, спросят некоторые, мы же с первого класса перерешали тысячи уравнений! А тут некий блогер утверждает, что их всего ничего. Да, уравнений очень мало. Линейное, квадратное и несколько тригонометрических. Кстати, я когда-то об этом писал, и мне в комментариях наоставляли кучу примеров уравнений, не из этого списка. Мол, есть ещё рациональные, иррациональные, биквадратные, логарифмические и ещё куча. Это не совсем так. Конечно, есть всякие другие виды уравнений. Но давайте посмотрим, как они решаются. Попробуем найти в ГДЗ любое решение уравнения. В конце мы всегда видим один из трёх вариантов: либо получается x=чему-то, либо автор вычисляет дискриминант (ну, может, вспоминают Виета), либо всё сводится к тригонометрическому кругу.

В ОГЭ (и ЕГЭ) уравнения занимают лидирующую позицию. Их там больше всего. Поэтому умение решать уравнения считается ключевым.

Многие сейчас удивятся, но по факту выходит, что в рамках школьной программы мы учимся решать меньше десятка уравнений. Но как же так, спросят некоторые, мы же с первого класса перерешали тысячи уравнений! А тут некий блогер утверждает, что их всего ничего.

Да, уравнений очень мало. Линейное, квадратное и несколько тригонометрических. Кстати, я когда-то об этом писал, и мне в комментариях наоставляли кучу примеров уравнений, не из этого списка. Мол, есть ещё рациональные, иррациональные, биквадратные, логарифмические и ещё куча.

Это не совсем так. Конечно, есть всякие другие виды уравнений. Но давайте посмотрим, как они решаются. Попробуем найти в ГДЗ любое решение уравнения. В конце мы всегда видим один из трёх вариантов: либо получается x=чему-то, либо автор вычисляет дискриминант (ну, может, вспоминают Виета), либо всё сводится к тригонометрическому кругу. Всегда. Каким бы заковыристым ни было уравнение.

* тут ошибка: "решений нет" должно читать как "корней нет", ибо факт указания отсутствия корней и есть решение.
* тут ошибка: "решений нет" должно читать как "корней нет", ибо факт указания отсутствия корней и есть решение.

Технически получается, что вместо логарифмических уравнений мы решаем линейные.

Авторы решения просто выбрасывают логарифмическое уравнение, а вместо него решают линейное.

Это, кстати, основополагающий принцип алгебры. Кто-то когда-то мне писал в комментариях, мол, слово "алгебра" вообще переводится на русский язык как "перебрасывание через равно". Это не совсем корректно, ибо в алгебре мы ничего через равно не перебрасываем. Мы просто выбрасываем старое и начинаем решать новое. Было уравнение 14-4x=2x+2, мы его выкинули и решаем уравнение 6x=12 (там по факту было не просто уравнение, а целая система из уравнения и неравенства).

При чём здесь ОДЗ? А вот при чём. Если мы решаем другое уравнение, то где гарантия, что его корни будут совпадать с корнями первого уравнения?

Поскольку не любое "выбрасывание" вообще как таковое даёт хоть какие-то гарантии, математики придумали "правила" (теоремы и методы на них основанные), по которым замена будет равноценной. То есть такой, что корни нового уравнения будут в точности совпадать с корнями старого. Но, к сожалению, не всегда можно обойтись именно равноценными заменами. Неравноценность может быть двоякой. У нового уравнения может быть больше корней, чем у старого, а может быть меньше.

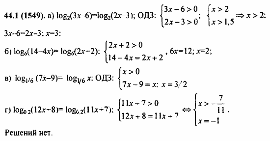
ОДЗ - это один из способов устранить проблему новообразований. Как расшифровывается ОДЗ? - область допустимых значений. То есть, мы допускаем до следующего шага не все значения, а только те, которые входят в некую область. Такие проблемы возникают в случае, когда при замене исчезает действие с ограничениями - деление, корень(?) или логарифм. Посмотрите на замены в примере под буквой г) - там именно такая ситуация: логарифмическое уравнение заменили линейным, а у линейного оказался корень, который никак не может быть у логарифмического, ибо вызывает вычисление логарифма от отрицательного числа (чего в школе делать не положено). И чтобы такого не возникло, мы сразу, на берегу говорим, что корнями могут быть не все значения неизвестной величины, а только те, которые допускает определение логарифма.

Кроме ОДЗ здесь можно выполнять элементарную проверку: просто подставлять корни в исходное уравнение, и если возникнут проблемы с вычислениями, эти корни не учитывать (если корней конечное количество, разумеется). Существуют и другие способы.

Замечу, что ОДЗ никоем образом не решает вторую проблему - когда у нового уравнения корней меньше, чем у исходного. Поэтому любители пихать ОДЗ где надо и где не надо оказываются в пролёте со второй частью ОГЭ и ЕГЭ.

Кстати, об экзаменах. Именно это и проверяется в уравнениях на ОГЭ и ЕГЭ. Это имеют в виду, когда требуют "обоснованное решение". Нужно обосновать, почему все корни, которые мы указали - это корни именно исходного уравнения, и нет других. Дети, изучая уравнения без всего этого, просто "нарешивая" и запоминая решения, очень быстро привыкают к тому, что ОДЗ необходимо там, где есть корень, логарифм и деление. Но легко придумать уравнение, содержащее корень, в котором при решении (замене уравнений по цепочке) корни будут не появляться, а исчезать, а корень вообще никак не повлияет на количество корней. Это расходится с доморощенными представлениями об уравнениях, и дети впадают в апатию: как понять, нужно ли ОДЗ при решении уравнения с корнем? А вот так, как я написал.