Найти в Дзене

Математика:Проф, квадратные уравнения с параметром (ФИПИ). Пример №8.

Добытое трудом с радостью и принимается и сохраняется, а что получено без труда, то быстро исчезает (Василий Великий). Следующая задача с параметром также взята из ОБЗ ФИПИ. Найти все значения a, при каждом из которых уравнение имеет один корень: Исходное выражение представляет собой дробно-рациональную функцию. Но с первого взгляда уже становится понятно, что после приведения дробей к общему знаменателю и переноса всех членов уравнения в левую часть мы получим квадратное уравнение и придётся анализировать его корни. ОДЗ: x ≠ -2; x ≠ a Как уже было замечено выше, дорогой ученик, реальную пользу для формирования необходимых навыков можно извлечь только своим трудом. А то, что можно просто мимоходом посмотреть или послушать, быстро забудется. Поэтому предлагаю поработать самостоятельно: сложить дроби, раскрыть скобки в числителе и привести подобные члены. Потом сверимся с тем, что я указал ниже. ⏱⏱⏱⏱⏱⏱⏱⏱⏱⏱⏱⏱⏱⏱⏱⏱⏱⏱⏱⏱⏱⏱⏱ ⏱⏱⏱⏱⏱⏱⏱⏱⏱⏱⏱⏱⏱⏱⏱⏱⏱⏱⏱⏱⏱⏱⏱ Это и есть то, что я называю ЕГЭ тренингом.
Добытое трудом с радостью и принимается и сохраняется, а что получено без труда, то быстро исчезает (Василий Великий).
Некоторые задачи, действительно, решаются не быстро... Кадр из фильма "...Приключения Шурика"
Некоторые задачи, действительно, решаются не быстро... Кадр из фильма "...Приключения Шурика"

Следующая задача с параметром также взята из ОБЗ ФИПИ.

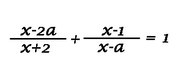
Найти все значения a, при каждом из которых уравнение имеет один корень:

-2

Исходное выражение представляет собой дробно-рациональную функцию. Но с первого взгляда уже становится понятно, что после приведения дробей к общему знаменателю и переноса всех членов уравнения в левую часть мы получим квадратное уравнение и придётся анализировать его корни.

ОДЗ: x ≠ -2; x ≠ a

Как уже было замечено выше, дорогой ученик, реальную пользу для формирования необходимых навыков можно извлечь только своим трудом. А то, что можно просто мимоходом посмотреть или послушать, быстро забудется. Поэтому предлагаю поработать самостоятельно: сложить дроби, раскрыть скобки в числителе и привести подобные члены. Потом сверимся с тем, что я указал ниже.

⏱⏱⏱⏱⏱⏱⏱⏱⏱⏱⏱⏱⏱⏱⏱⏱⏱⏱⏱⏱⏱⏱⏱

⏱⏱⏱⏱⏱⏱⏱⏱⏱⏱⏱⏱⏱⏱⏱⏱⏱⏱⏱⏱⏱⏱⏱

Это и есть то, что я называю ЕГЭ тренингом. А получиться должно следующее:

-3

Если есть вопросы, их можно задать в комментариях.

Дальше умножаем обе части уравнения на знаменатель, который, в соответствии с приведенным выше ОДЗ, не должен быть равен нулю, переносим все члены в левую часть, приводим подобные члены, выносим за скобку множители при переменной X:

⏱⏱⏱⏱⏱⏱⏱⏱⏱⏱⏱⏱⏱⏱⏱⏱⏱⏱⏱⏱⏱⏱⏱

⏱⏱⏱⏱⏱⏱⏱⏱⏱⏱⏱⏱⏱⏱⏱⏱⏱⏱⏱⏱⏱⏱⏱

-4

Исходное выражение преобразовали в систему (1), с учётом ОДЗ. Теперь и начнём её анализировать.

Известно, что в случае, если дискриминант квадратного уравнения равен нулю, то оба корня такого уравнения равны между собой, или можно сказать, что есть только один корень.

Вычисляем, дискриминант:

-5

Приравнивая дискриминант нулю, находим два нужные для ответа значения параметра a:

-6

Давайте подумаем, все ли решения мы нашли? Могут ли быть ещё какие-то значения a, при которых исходное уравнение может иметь только один корень?

⏱⏱⏱⏱⏱⏱⏱⏱⏱⏱⏱⏱⏱⏱⏱⏱⏱⏱⏱⏱⏱⏱⏱

⏱⏱⏱⏱⏱⏱⏱⏱⏱⏱⏱⏱⏱⏱⏱⏱⏱⏱⏱⏱⏱⏱⏱

Если допустить, что такие a есть, то дискриминант получится положительный, и квадратное уравнение должно иметь ДВА различных корня. Но в системе (1) установлены ограничения на возможные значения X. Получается, что требуется дополнительный анализ корней: если один корень из пары корней уравнения удовлетворяет системе (1), а другой нет, то надо найти такие a, при которых это возможно. Так что, работаем дальше.

Наметим дальнейший план действий, для этого придётся подумать над сложившейся ситуацией.

⏱⏱⏱⏱⏱⏱⏱⏱⏱⏱⏱⏱⏱⏱⏱⏱⏱⏱⏱⏱⏱⏱⏱

⏱⏱⏱⏱⏱⏱⏱⏱⏱⏱⏱⏱⏱⏱⏱⏱⏱⏱⏱⏱⏱⏱⏱

План предлагаю такой: подставим в уравнение системы (1) "запрещённое" значение для x=-2 и решим его относительно параметра a. После чего вычислим второй корень x и посмотрим, что из этого получится...

-7

Итак, подставляем x=-2 в уравнение и решаем его, получаем два значения параметра a:

-8

Посмотрим, что получилось: пусть подставленное в уравнение значение x1=-2, оно получается при a = -1 и при a = -2. Как быстро вычислить x2?

Думаем, думаем... Задача очень поучительная. Тот, кто самостоятельно сможет продолжить, сделает большой шаг для развития своих навыков. Остальные, конечно, тоже извлекут для себя большую пользу от этой задачи.

⏱⏱⏱⏱⏱⏱⏱⏱⏱⏱⏱⏱⏱⏱⏱⏱⏱⏱⏱⏱⏱⏱⏱

⏱⏱⏱⏱⏱⏱⏱⏱⏱⏱⏱⏱⏱⏱⏱⏱⏱⏱⏱⏱⏱⏱⏱

Поможет в этом деле теорема Виета => x1+x2=2a+1=>x2=2a+1-x1.

Теперь легко видеть, что для a = -1 => x2=1. И получается, что один из пары корней не соответствует системе (1), а второй корень из пары соответствует этой системе. Значит a=-1 необходимо включить в ответ.

Аналогично, проверяем a=-2: x2=2(-2)+1-(-2)=-1, этот корень из пары корней удовлетворяет системе (1). Значит, a=-2 также годится для ответа.

Ну, и теперь завершающая стадия нашего исследования: тот анализ, что выше сделан для x1=-2, надо повторить для другой возможной пары корней уравнения системы (1), присвоив значение x1=a. В результате множество значений a, удовлетворяющих условию задачи, расширится. Пока это множество состоит из четырёх приведённых выше значений. Прошу найти, какие значения a к ним добавятся? Можно указать их в комментариях (я проверю и сообщу, правильно ли) или прислать мне на почту, которую можно найти здесь, я обязательно отвечу.

Если Вам понравилась статья, поставьте лайк и подпишитесь на канал, это поможет и другим пользователям получить полезную информацию, спасибо!