Добавить в корзинуПозвонить
Найти в Дзене
Блокнот математика

Орбиты вокруг черной дыры

Мы уже обсуждали, что "естественные" предположения о пространстве и поля тяготения приводят с неизбежностью к закону обратных квадратов. Любые отклонения от этого закона приводят к отказу от каких-то предположений. В частности, от однородности пространства и времени, и вот перед нами концепция кривизны. Если вам лень пройти по ссылке, то предположения симметрии означают, что поле сил тяготения зависит от только от расстояния; предположения о бездивергентности (когда нет других источников поля и нет токов) и потенциальности (когда есть потенциальная энергия) дают уравнение Пуассона, у которого только одно подходящее решение. То самое. Закон обратных квадратов позволяет решить задачу Кеплера: об орбитах тела пренебрежимо малых массы и размера (Земли, например) вокруг массы пренебрежимо малых размеров (Солнца, например) при пренебрежимо малом влиянии других тел (Солнечная система как пример). Если у вас возникает негодование по поводу сделанных предположений, то вам многое надо еще изучи

Мы уже обсуждали, что "естественные" предположения о пространстве и поля тяготения приводят с неизбежностью к закону обратных квадратов. Любые отклонения от этого закона приводят к отказу от каких-то предположений. В частности, от однородности пространства и времени, и вот перед нами концепция кривизны.

Если вам лень пройти по ссылке, то предположения симметрии означают, что поле сил тяготения зависит от только от расстояния; предположения о бездивергентности (когда нет других источников поля и нет токов) и потенциальности (когда есть потенциальная энергия) дают уравнение Пуассона, у которого только одно подходящее решение. То самое.

Закон обратных квадратов позволяет решить задачу Кеплера: об орбитах тела пренебрежимо малых массы и размера (Земли, например) вокруг массы пренебрежимо малых размеров (Солнца, например) при пренебрежимо малом влиянии других тел (Солнечная система как пример).

Если у вас возникает негодование по поводу сделанных предположений, то вам многое надо еще изучить. В науке малость относительна и в любой задаче что-то игнорируется просто потому, что и так неплохо выходит, а иначе ничего не выйдет. Будь всё не так - мы до сих пор по саванне кочевали.

Решением задачи Кеплера получаются конические сечения, они же кривые второго порядка. Эллипс, парабола и гипербола, и некоторые вырожденные случаи, например, радиальное падение по прямой. Все три такие разные кривые описываются одним уравнением в полярных координатах. Вот оно:

r = p/(1+εcosφ),

где r — полярный радиус, φ — полярный угол, ε — эксцентриситет (параметр кривой), р — параметр.

Разные кривые второго порядка, с одним и тем же полярным уравнением. У всех точка (х=0,у=0) полюс, у всех параметр р =1, а эксцентриситеты разные: 0 у окружности, 0.5 и 0.7 у эллипсов, 1 у параболы, 1.2 у гиперболы. Черные прямые - асимптоты гиперболы, к ним она стремится на бесконечности, что соответствует асимптотической прямизне траекторий: "очень далеко" движение почти равномерно прямолинейно.
Разные кривые второго порядка, с одним и тем же полярным уравнением. У всех точка (х=0,у=0) полюс, у всех параметр р =1, а эксцентриситеты разные: 0 у окружности, 0.5 и 0.7 у эллипсов, 1 у параболы, 1.2 у гиперболы. Черные прямые - асимптоты гиперболы, к ним она стремится на бесконечности, что соответствует асимптотической прямизне траекторий: "очень далеко" движение почти равномерно прямолинейно.

В ОТО нет симметрии пространства-времени, и орбиты более разнообразные. В случае малого отличия, орбита почти эллипс, но не совсем; это можно описать прецессией, то есть поворотом всего эллипса: тело за "год" прилетает не в то же точку, а чуть не долетает или чуть перелетает, и начинает новый эллипс с новой точки.

Есть и принципиальное отличие. Давайте проследим за тем, что там происходит.

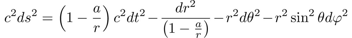
Итак, начинаем с метрики Шварцшильда. Она записана в координатах, похожих на сферические (долгота, широта, расстояние r до центра притягивающей массы) плюс время, и отличается от плоской метрики множителем (1+a/r) при dt и им же в знаменателе при dr, а число а есть гравитационный радиус, пропорциональный массе притягивающего тела и обычно очень маленький (порядка сантиметра на каждую массу Земли).

-2

Можно выяснить, просто из симметрии уравнений, что имеют место два закона сохранения: углового момента L и энергии E:

-3

Их можно подставить в метрику, придя к уравнению энергий. Слева будет стоять полная энергия частицы (пробного тела), а справа — четыре слагаемых. Одно есть просто кинетическая энергия тела. Три остальных формируют эффективный потенциал. Если подставить формулу для гравитационного радиуса a=2GM/c²:

-4

Из этих трех слагаемых одно — обычный Ньютонов потенциал, а второе — "центробежная сила", то есть отталкивание за счет инерции. А третий и отвечает за отличие результата от теории Ньютона. И он тоже пропорционален квадрату момента вращения L. Квадрат означает, что от направления вращения направление силы не зависит.

Важно, что знаки "классических" слагаемых разные, то есть центробежная сила противостоит притяжению. А третье слагаемое тоже притягивает. И чем быстрее вращение, тем сильнее это притяжение. Это чисто релятивистский эффект, которого нет при чисто радиальном падении.

Типичный эффективный потенциал. Одномерный, зависящий только от расстояния до центра. Может оказаться, что сумма трех слагаемых -A/r+B/r²-C/r³ имеет и максимум, и минимум, как на рисунке, а может и не оказаться. Ньютонов потенциал, при C=0, всегда уходит в бесконечность при ненулевом B, а именно В отвечает за вращение. Максимума, как здесь, быть не может. Если же В=0, то у Ньютона сингулярность еще хуже, чем в ОТО. Цветом показаны уровни энергии. Жирными точками - положения "остановки", когда тело перестает приближаться и начинает отдаляться или наоборот. Красная линия - падение. Скорость к центру слишком велика, как не кружись, а упадешь. Зеленая линия - аналог гиперболического движения из бесконечности в бесконечность. Синяя касается кривой потенциала в бесконечности - это аналог параболического движения. Коричневая - аналог эллиптического, финитные траектории. Фиолетовая - "прыжок": тело подброшено откуда-то между, взлетает на максимальную высоту и падает на центр. Может сделать несколько витков. По оси х на рисунке отмечены не единицы, а больше, но масштаб роли не играет.
Типичный эффективный потенциал. Одномерный, зависящий только от расстояния до центра. Может оказаться, что сумма трех слагаемых -A/r+B/r²-C/r³ имеет и максимум, и минимум, как на рисунке, а может и не оказаться. Ньютонов потенциал, при C=0, всегда уходит в бесконечность при ненулевом B, а именно В отвечает за вращение. Максимума, как здесь, быть не может. Если же В=0, то у Ньютона сингулярность еще хуже, чем в ОТО. Цветом показаны уровни энергии. Жирными точками - положения "остановки", когда тело перестает приближаться и начинает отдаляться или наоборот. Красная линия - падение. Скорость к центру слишком велика, как не кружись, а упадешь. Зеленая линия - аналог гиперболического движения из бесконечности в бесконечность. Синяя касается кривой потенциала в бесконечности - это аналог параболического движения. Коричневая - аналог эллиптического, финитные траектории. Фиолетовая - "прыжок": тело подброшено откуда-то между, взлетает на максимальную высоту и падает на центр. Может сделать несколько витков. По оси х на рисунке отмечены не единицы, а больше, но масштаб роли не играет.

Теперь посмотрим на характер зависимости от расстояния r. Ньютонов потенциал обратно пропорционален r, центробежный — квадрату r, а третье слагаемое — кубу r.

То есть, у Ньютона точка не может упасть на точку, кроме случая радиального падения, когда момент вращения равен нулю. Центробежный член всегда преодолеет. А вот в ОТО не так, и кубический член при малых r больше квадратичного центробежного.

Это забавно, так как обычно чем быстрее вращаешься, тем больше центробежная сила (второе слагаемое), которая как бы уменьшает твой вес (первое слагаемое). А здесь есть ещё третье слагаемое, которое вес увеличивает. На каких то расстояниях (вблизи горизонта событий) чем быстрее вращаешься, тем вес больше. Где-то может быть орбита, на которой скорость вращения очень велика (иначе упадем в черную дыру), но при этом центробежная сила не размазывает нас по потолку, а напротив, создает комфортную гравитацию в сторону пола. А где-то есть орбита, с которой эта "антицентробежная" сила затянет вас в черную дыру.

Классификация орбит получается из формы эффективного потенциала. Кривые могут быть разными, несколько изображено на рисунке. По оси х расстояние до центра, а по вертикальной оси — энергия. Энергия пробного тела не может быть меньше на данном расстоянии, то есть ниже кривой быть нельзя. Если точка на кривой, то вся ее энергия — потенциальная, кинетическая равна нулю, точка остановилась.

https://upload.wikimedia.org/wikipedia/commons/thumb/e/ee/Schwarzschild_effective_potential.svg/350px-Schwarzschild_effective_potential.svg.png
https://upload.wikimedia.org/wikipedia/commons/thumb/e/ee/Schwarzschild_effective_potential.svg/350px-Schwarzschild_effective_potential.svg.png

Конечно, это одномерный потенциал, а задача трехмерная. Точнее, двумерная, так как всё движение происходит в одной плоскости. Так что остановка только относительно радиальной переменной: точка движется перпендикулярно направлению на центр.

В итоге, если у потенциала есть минимум, то там могут быть конечные орбиты, не приходящие из бесконечности и не уходящие в бесконечность. Аналог эллипсов. Если уровень энергии упирается левым краем в кривую, то точка приходит из бесконечности и уходит в бесконечность (аналог гиперболы). Если уровень энергии касается максимума, то это аналог параболы.

Если уровень энергии выше максимума, то это гравитационный захват, аналогов у Ньютона не имеющий, потому что у Ньютона потенциал растет до бесконечности и выше него никак нельзя пройти до центра.

Может быть ещё "прыжок", когда уровень энергии правым краем упирается в кривую. От точки близ чёрной дыры можно отдалиться и свалиться обратно. Аналог суборбитальных "прыжков".

Свет, выпущенный не радиально где-то между горизонтом событий и фотонной сферой, наматывается на фотонную сферу радиусом полтора гравитационных и из нее не выходит, или падает на горизонт. Свет, выпущенный вне фотонной сферы, может наматываться на нее или сматываться с нее.

Краткий вывод из всего сказанного таков. На мало-мальски "космических" расстояниях от черной дыры она ведет себя как обычное небесное тело соответствующей массы. Только орбиты немного прецессируют, как у Меркурия, и свет отклоняется. "Суперпылесосом" она является на малых расстояниях, в единицы гравитационного радиуса. Далее трех уже всё как у всех, более или менее.

Научно-популярные каналы на Дзене: путеводитель
Новости популярной науки12 марта 2022