Найти в Дзене

№ 482 из учебника по алгебре для 7-го класса (автор Ю. Н. Макарычев)

Линейная функция В главе II §6 п.16 учебника на странице 75 даётся определение линейной функции: линейной функцией называется функция, которую можно задать формулой вида y = kx + b, где x– независимая переменная, k и b – некоторые числа. График функции y = kx + b, где k ≠ 0, есть прямая, параллельная прямой y = kx Условие задачи: Прямая, являющаяся графиком функции, заданной формулой y = kx + b, пересекает оси координат в точках A (0; 6) и B (– 4; 0). Найдите k и b. Решение: 1) Подставим в уравнение y = kx + b значения координат точки A: 2) Зная, что b = 6, подставляем в уравнение y = kx + b значения координат точки B: Перенесём слагаемое «– 4k» из правой части уравнения в левую: 4k = 6 Обратите внимание! При переносе мы поменяли знак на противоположный, и теперь перед «4k» у нас не стоит знак «–» (правило из §41 «Математики» А. Г. Мерзляк (6 класс)). k = 6 : 4 = 1,5 Ответ: k = 1,5; b = 6.
Оглавление

Линейная функция

В главе II §6 п.16 учебника на странице 75 даётся определение линейной функции: линейной функцией называется функция, которую можно задать формулой вида y = kx + b, где x– независимая переменная, k и b – некоторые числа.

График функции y = kx + b, где k ≠ 0, есть прямая, параллельная прямой y = kx

Условие задачи:

Прямая, являющаяся графиком функции, заданной формулой y = kx + b, пересекает оси координат в точках A (0; 6) и B (– 4; 0). Найдите k и b.

Решение:

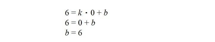
1) Подставим в уравнение y = kx + b значения координат точки A:

2) Зная, что b = 6, подставляем в уравнение y = kx + b значения координат точки B:

-2

Перенесём слагаемое «– 4k» из правой части уравнения в левую:

4k = 6

Обратите внимание! При переносе мы поменяли знак на противоположный, и теперь перед «4k» у нас не стоит знак «–» (правило из §41 «Математики» А. Г. Мерзляк (6 класс)).

k = 6 : 4 = 1,5

Ответ: k = 1,5; b = 6.