Добавить в корзинуПозвонить
Найти в Дзене

Метод рационализации при решении неравенств на профильном ЕГЭ по математике

Разные названия одного метода В различных пособиях этот метод называют по-разному: Я не смог обнаружить существенных различий между всеми этими методами, поэтому предлагаю считать всё вышеперечисленное разными названиями одного и того же метода. Далее я буду использовать название "метод рационализации". Основная идея Основная идея метода рационализации в том, чтобы перейти от решения исходного "сложного" неравенства (логарифмического, показательного или смешанного) к решению более простого (как правило, дробно-рационального) неравенства, которое можно решить методом интервалов. Например, Обратите внимание, что переход является равносильным. Это означает, что множество корней левого неравенства совпадает с множеством корней правого неравенства. То есть мы заменили решение "сложного" неравенства (в котором переменная находится в показателе степени) решением более простого дробно-рационального неравенства. В некоторых случаях необходимо выполнить переход от "сложного" неравенства к систем
Оглавление

Разные названия одного метода

В различных пособиях этот метод называют по-разному:

  • метод рационализации
  • метод замены множителей
  • метод знакотождественных множителей

Я не смог обнаружить существенных различий между всеми этими методами, поэтому предлагаю считать всё вышеперечисленное разными названиями одного и того же метода. Далее я буду использовать название "метод рационализации".

Основная идея

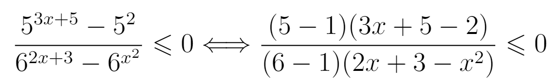
Основная идея метода рационализации в том, чтобы перейти от решения исходного "сложного" неравенства (логарифмического, показательного или смешанного) к решению более простого (как правило, дробно-рационального) неравенства, которое можно решить методом интервалов. Например,

Равносильный переход от показательного неравенства
Равносильный переход от показательного неравенства

Обратите внимание, что переход является равносильным. Это означает, что множество корней левого неравенства совпадает с множеством корней правого неравенства. То есть мы заменили решение "сложного" неравенства (в котором переменная находится в показателе степени) решением более простого дробно-рационального неравенства.

В некоторых случаях необходимо выполнить переход от "сложного" неравенства к системе более простых неравенств. Например,

Равносильный переход от логарифмического неравенства
Равносильный переход от логарифмического неравенства

Идея данного перехода такая же, как и в предыдущем примере, - перейти от "сложного" неравенства (в котором переменная находится под знаком логарифма) к системе из более простых неравенств, которые можно решить методом интервалов (разумеется, после некоторых преобразований).

Замечу, что неравенство (4), записанное в системе, является избыточным: оно верно при любых действительных значениях x. Поэтому неравенство (4) можно исключить из системы (при этом множество решений системы не изменится).

Кроме этого, система, составленная из неравенств (2), (3) и (4) не описывает ОДЗ исходного (левого) неравенства. Например, число 4 удовлетворяет неравенствам (2), (3), (4), но не входит в ОДЗ исходного неравенства. Поэтому нельзя в бланке ответов писать рядом с условиями (2), (3) и (4) слово ОДЗ, потому что это не ОДЗ! Неравенства (2), (3), (4) - это условия, которые должны быть записаны в системе, чтобы переход был равносильным.

В 2018 и 2019 годах многие участники экзамена получали 0 баллов в задании 15 именно из-за того, что писали слово ОДЗ рядом с условиями, которые не описывали ОДЗ. Слово ОДЗ следует писать только рядом с теми условиями, которые действительно описывают ОДЗ исходного неравенства.

Теоремы метода рационализации

Метод рационализации базируется на 4 теоремах, каждая из которых утверждает, что такой-то переход является равносильным. Я собрал все эти 4 теоремы на одной картинке:

Четыре теоремы о равносильных переходах в методе рационализации
Четыре теоремы о равносильных переходах в методе рационализации

Вместо знака "галочка" можно использовать любой из пяти знаков: больше, меньше, больше или равно, меньше или равно, равно.

Буквой a обозначено положительное действительное число, не зависящее от х. Буквами f, g, h обозначены выражения, которые могут содержать переменную x (а могут и не содержать).

Отмечу, что равносильный переход в иррациональных неравенствах (вторая теорема) вряд ли пригодится на ЕГЭ при решении задания 15. По словам Иван Валериевича Ященко (руководителя Федеральной комиссии разработчиков КИМ ЕГЭ и ОГЭ по математике) в задании 15 профильного ЕГЭ по математике нет иррациональных неравенств.

Но я решил не исключать этот переход из списка, потому что иррациональные уравнения могут встретиться на различных олимпиадах ("РосАтом", "ФизТех", "ОММО"), а также в ЕГЭ в задании 18.

Основываясь на этих теоремах можно решать широкий круг неравенств. Для этого необходимо сделать так, чтобы в правой части неравенства стоял 0, а в левой части неравенства - произведение или частное скобок. Если в какой-то из скобок стоит разность модулей, арифметических квадратных корней, степеней или логарифмов с одинаковым основанием, то можно совершить равносильный переход, заменив эту скобку более простым выражением и (при необходимости), дописав в систему необходимые условия (пример будет ниже, в следующем разделе).

Как оформлять метод рационализации на ЕГЭ?

В 2020 году я писал профильный ЕГЭ по математике и набрал 96 баллов из 100. Задание 15 в моей работе было оценено максимальным баллом. Я использовал в решении метод равносильных переходов и рядом с одним из равносильных переходов написал фразу "метод рационализации":

Задание 15 профильного ЕГЭ по математике 2020, оценённое максимальным баллом
Задание 15 профильного ЕГЭ по математике 2020, оценённое максимальным баллом

Кстати, недавно я написал статью о том, за что снимали баллы в задании 15 в 2020 году. Там я привожу теоретические сведения о том, как правильно решать неравенства методом интервалов, показываю примеры работ с ошибками и примеры правильных работ.

P.S.

Написание качественных статей требует много времени и сил, поэтому если вам понравилась статья, то обязательно подержите её лайком и добрым комментарием! :-) Благодарность - это лучший стимул для автора писать больше и чаще качественных статей. Спасибо за внимание!