Найти в Дзене

8. Атом. 8.3. Почему распадаются атомы? (инженерам на заметку)

Тихомиров Евгений Алексеевич, помощник посла высокоразвитой цивилизации со звёздного скопления "Стожары" ("Плеяды") Ивана Васильевича Пономаренко
8.3. Почему распадаются атомы (инженерам на заметку)
Ортодоксальные учёные проделали огромную работу по распаду атомов и выяснили очень много макро характеристик атомного распада, что является несомненным крупным достижением ортодоксальных учёных. Нам
Тихомиров Евгений Алексеевич, помощник посла высокоразвитой цивилизации со звёздного скопления "Стожары" ("Плеяды") Ивана Васильевича Пономаренко
Тихомиров Евгений Алексеевич, помощник посла высокоразвитой цивилизации со звёздного скопления "Стожары" ("Плеяды") Ивана Васильевича Пономаренко

8.3. Почему распадаются атомы (инженерам на заметку)

Ортодоксальные учёные проделали огромную работу по распаду атомов и выяснили очень много макро характеристик атомного распада, что является несомненным крупным достижением ортодоксальных учёных. Нам следует обратить внимание на следующее обстоятельство. Изучение распада атомов не предварялось созданием какой-либо теорией распада атомов. Хотя у первооткрывателя атомного распада, Анри Беккереля, и было некоторое теоретическое предвидение, но оно оказалось абсолютно неправильным. Характерно, что первооткрывателю атомного распада,
Анри Беккерелю не Выдали Нобелевскую премию. Это никому и в голову не пришло, что разумеется, крайне несправедливо. Кто знает, если бы не Анри Беккерель, возможно и сейчас мы бы ничего не знали о распаде атомов, и не было никаких бомбардировок Хиросимы и Нагасаки, хотя это и вряд ли.

Всё, что удалась выявить по атомному распаду, было сделано в результате экспериментальных работ, порой трудоёмких и связанных с риском для жизни. Например Мария Кюри умерла от лучевой болезни в 1934 году. Хотя, по словам её дочери Ирен Кюри, её мать, то есть Мария Кюри, и она сама никогда не стали бы заниматься изучением распада атомов, если бы знали, что их труды закончатся созданием атомной бомбы.

Таким образом, изучение распада атомов осуществлялось по классической схеме: изучались природные феномены, а потом, на основе полученных результатов, составлялись теории. Теории, как обычно, оказались несостоятельные. Поэтому продуктивное изучение распада атомов замедлилось и сбилось на фантастическое направление, Достаточно сказать, что ортодоксы сейчас даже не применяют термин "атомный распад" а больше говорят о ядерном распаде, имея в виду распад нуклонного ядра. Но мы с вами уже знаем, что нуклонного ядра не существует в природе. Поэтому ортодоксы не знают и не понимают чем же вызывается распад атомов и что является причиной их распада. Знание этого вопроса особенно важно, т.к. на его основе возможно в будущем человечество научится "лечить" атомы и делать нестабильные, распадающиеся изотопы - стабильными.

Сейчас, кратко рассмотрим, что удалось выяснить ортодоксальным учёным в части распада атомов. Википедия отмечает:

"Экспериментально установлено, что радиоактивны, то есть не имеют стабильных изотопов, все химические элементы с порядковым номером, большим 82 (то есть начиная с висмута).
Все более лёгкие элементы, помимо стабильных изотопов, имеют радиоактивные изотопы с разными периодами полураспада, варьирующимися от долей наносекунды до значений, на много порядков превышающих возраст Вселенной. Например, теллур-128 имеет самый долгий измеренный период полураспада из всех изученных радионуклидов, ~2,2·10^24 лет".

Насчёт "измерения" периода полураспада теллура - 128, это конечно же преувеличение, сами же пишут, что у некоторых изотопов период полураспада на много порядков превышает возраст вселенной. По-видимому, период полураспада таких изотопов установили на базе каких-то теоретических зависимостей и не факт, что правильно.

Далее Википедия 2 отмечает:

"Исключение по нестабильности из элементов легче висмута составляют прометий и технеций, не имеющие долгоживущих относительно длительности геологических эпох изотопов. Наиболее долгоживущий изотоп технеция — технеций-98 — имеет период полураспада около 4,2 млн лет, а самый долгоживущий изотоп прометия — прометий-145 — 17,5 лет. Поэтому изотопы технеция и прометия со времени формирования Земли не сохранились в земной коре и получены искусственно.
Существует много природных радиоактивных изотопов, период полураспада которых соизмерим с возрастом Земли или многократно превышает его, поэтому, несмотря на их радиоактивность, эти изотопы содержатся в природной изотопной смеси соответствующих элементов. Примерами могут служить калий-40, рений-187, рубидий-87, теллур-128 и многие другие".

Следующее замечание Википедии - 2 сейчас поставлено под сомнение.

"Измерение отношения концентраций некоторых из долгоживущих изотопов и продуктов их распада позволяет проводить абсолютную датировку минералов, горных пород и метеоритов в геологии".

По информации посла высокоразвитой цивилизации Ивана Васильевича Пономаренко известно, что интенсивность распада атомов зависит не только от количества радиоактивного изотопа, хотя долгое время так считали, но и от количества и силы солнечных вспышек. Это известно и некоторым нашим ортодоксальным учёным, но в научной литературе это не обсуждается, только в Интернете промелькнула заметка, что русские учёные заметили, что интенсивность распада радиоактивных изотопов, хранящихся у них в шкафу, возрастает при солнечной вспышке. Однако учёные, к сожалению, не оформили своё открытие, чем нанесли огромный вред науке. Ведь тогда получается, что опасность атомных электростанций гораздо существеннее, чем думают сейчас, и, во-вторых, абсолютная датировка минералов горных пород и метеоритов поставлена под сомнение, т.к. неизвестно сколько и какой интенсивности были вспышки на Солнце. Это же относится и к расчётным периодам полураспада долгоживущих изотопов, по-видимому, они гораздо меньше, чем насчитали наши учёные. Замалчивание своего научного открытия учёные сделали конечно же только по политическим соображениям, что недопустимо в научной работе.

Далее в Википедии - 2 следует разбор на какие составные части распадаются атомы и этот раздел почему-то назван теорией распада. Хотя, разумеется, никакой теорией в этом разделе даже не пахнет, все достоверные положения этого раздела сделаны только на базе экспериментальных работ. Просто у учёных произошёл сдвиг в мозгах и они начали думать, что теория - это самое важное, что имеется в науке, когда как на самом деле, как мы неоднократно подчёркивали, любая теория не стоит даже бумаги, на которой напечатана.

Подробно, на этом разделе мы сейчас останавливаться не будем, так как это и так известно всем, кто закончил хотя бы среднюю школу. Кратко только повторим, что мы уже и так знаем, чтобы объяснить это старшему поколению, так как когда оно училось, этого в школе не проходили.

Естественная радиоактивность — самопроизвольный распад атомов, встречающихся в природе.

Искусственная радиоактивность — самопроизвольный распад атомов, полученных искусственным путём через соответствующие ядерные реакции.

Атом, испытывающий радиоактивный распад, и атом, возникающий в результате этого распада, называют соответственно материнским и дочерним атомами. Изменение массового числа и заряда дочернего атома по отношению к материнскому описывается эмпирическим правилом смещения Содди.

Распад, сопровождающийся испусканием альфа-частиц, назвали альфа-распадом; распад, сопровождающийся испусканием бета-частиц, был назван бета-распадом (в настоящее время известно, что существуют типы бета-распада без испускания бета-частиц, однако бета-распад всегда сопровождается испусканием нейтрино или антинейтрино). Термин «гамма-распад» применяется редко; испускание ядром гамма-квантов называют обычно изомерным переходом. Гамма-излучение часто сопровождает другие типы распада, когда в результате первого этапа распада возникает дочерний атом в возбуждённом состоянии, затем испытывающее переход в основное состояние с испусканием гамма-квантов.

Энергетические спектры α-частиц и γ-квантов, излучаемых радиоактивными атомами, прерывистые («дискретные»), а спектр β-частиц — непрерывный.

В настоящее время, кроме альфа-, бета- и гамма-распадов, обнаружены распады с испусканием нейтрона, протона (а также двух протонов), кластерная радиоактивность, спонтанное деление. Электронный захват, позитронный распад (или β+-распад), а также двойной бета-распад (и его виды) обычно считаются различными типами бета-распада.

Некоторые изотопы могут испытывать одновременно два или более видов распада. Например, висмут-212 распадается с вероятностью 64 % в таллий-208 (посредством альфа-распада) и с вероятностью 36 % в полоний-212 (посредством бета-распада).

Образовавшееся в результате радиоактивного распада дочерний атом иногда оказывается также радиоактивным и через некоторое время тоже распадается. Процесс радиоактивного распада будет происходить до тех пор, пока не появится стабильный, то есть нерадиоактивный атом. Последовательность таких распадов называется цепочкой распадов, а последовательность возникающих при этом нуклидов называется радиоактивным рядом. В частности, для радиоактивных рядов, начинающихся с урана-238, урана-235 и тория-232, конечными (стабильными) нуклидами являются соответственно свинец-206, свинец-207 и свинец-208.

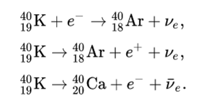
Атомы с одинаковым массовым числом A (изобары) могут переходить друг в друга посредством бета-распада. В каждой изобарной цепочке содержится от 1 до 3 бета-стабильных нуклидов (они не могут испытывать бета-распад, однако не обязательно стабильны по отношению к другим видам радиоактивного распада). Остальные атомы изобарной цепочки бета-нестабильны; путём последовательных бета-минус- или бета-плюс-распадов они превращаются в ближайший бета-стабильный нуклид. Атомы, находящиеся в изобарной цепочке между двумя бета-стабильными нуклидами, могут испытывать и β−-, и β+-распад (или электронный захват). Например, существующий в природе радионуклид калий-40 способен распадаться в соседние бета-стабильные атомы аргон-40 и кальций-40:

-2

Таким образом, ясного и однозначного понятия, почему именно распадаются атомы у ортодоксов нет из-за того, что в качестве ядра атома они избрали фантастическое нуклонное ядро, которое не существует в природе. Поэтому в ход пошли теоретические фантазии с участием сильных и слабых взаимодействий. Эти фантазии мы разбирать не будем, ввиду явной бессмысленности этого занятия, т.к. в природе нет ни нуклонного ядра, следовательно нет ни сильных, ни слабых взаимодействий.

Иван Васильевич Пономаренко объясняет, что атомы становятся нестабильными и распадаются, если нарушен паритет между количественном корпускул положительной (светлой) и отрицательной (тёмной) материи в ядре атома, как отдельной элементарной частице.

Как мы уже разбирали в статье 8.1. ядро атома состоит из колец, образованных корпускулами положительной (светлой) материи, в середине и снаружи которых находятся корпускулы отрицательной (темной) материи. Для наглядности приведём рисунок энергетического кольца положительной материи и ядер атомов протия, дейтерия и трития. этот рисунок мы уже приводили в статье 8.1.

Энергетическое кольцо положительной (светлой) материи и ядра атомов протия, дейтерия и трития.
Энергетическое кольцо положительной (светлой) материи и ядра атомов протия, дейтерия и трития.

У стабильных атомов соблюдается паритет между количеством корпускул положительной и отрицательной материй в ядрах атомов. Поэтому стабильное ядро нейтрально. У нестабильных, радиоактивных атомов этот паритет нарушается в пользу корпускул положительной (светлой) материи. Таким образом, у нестабильных атомов в ядре атома всегда больше количество корпускул положительной (светлой) материи, чем отрицательной (тёмной) материи. Наоборот не бывает никогда. Это понятно почему. Как мы объясняли ранее, структурно обладающими свойствами во всех элементарных частицах имеет положительная (светлая) материя, именно она образует энергетические кольца, в которых строго определённое количество корпускул положительной (светлой) материи. Естественно, что в ядре атома не может быть пол кольца, или четверть энергетического кольца, а несоблюдение паритета между обеими материями объясняется тем, что в месте образования ядер атомов не хватает отрицательной (тёмной) материи.

У одних радиоактивных атомов этот паритет между положительной (светлой) и отрицательной (тёмной) материями нарушается больше, у других - меньше. Это приводит к проблемам со стабильностью колец в ядре атома. Отрицательная (тёмная) и положительная (светлая) материи в ядре атома напрямую взаимодействует с отрицательной (тёмной) и положительной (светлой) материями в протоне, нейтроне и электроне.

Рассмотрим на примере взаимосвязи ядра атома, с протоном. Отрицательная (тёмная) материя в ядре атома, которая находится в середине колец из положительной (светлой) материи, взаимодействует с положительной (светлой) материей в протоне, удерживает протоны на орбите вокруг ядра (такие же взаимодействия происходят с нейтроном и электроном). Кольцо положительной (светлой) материей ядра атома, взаимодействует с отрицательной (тёмной) материей протона, это заставляет протоны (и другие частицы) вращаться по своим орбитам. А поскольку это взаимодействие кольца ядра атома, с отрицательной (тёмной) материей протона происходит через зону положительной (светлой) материей на поверхности протона, так же как и нейтрона, расстояние вращения протона и нейтрона по своим орбитам, во много раз меньше из-за этой блокировки, чем у электрона, у которого отрицательная (тёмная) материя расположена на поверхности электрона.

Но из-за того, что у радиоактивных атомов в ядрах преобладает положительная (светлая) материя, то возникает проблема ослабления способности удержания части протонов, но сохраняется вращательное движение по орбитам, благодаря кольцам положительной (светлой) материи ядра атома. Взаимосвязь между атомами происходит за счет магнитной стоячей волны. Такие же связи образуются и у радиоактивных атомов с другими атомами. Эту стоячую магнитную волну образуют протоны, как это происходит разберём в другой статье, здесь это не суть важно. А теперь рассмотрим, что приводит к радиоактивному распаду, в природных условиях. У нас часть элементарных частиц очень слабо удерживает на своих орбитах. Такая ослабленная взаимосвязь ядра атома с протонами, приводит к раскачке части протонов и нейтронов на своих орбитах. А такая раскачка приводит к тому, что в протонной волне, возникает новая частота волны. Такая новая волна приводит к тому, что она может не совпадать по частоте с образованной стоячей волной. Новая волна начинает отражаться обратно, в протонную зону. Когда такая обратная магнитная волна сможет достигнуть протонной зоны зависит от многих факторов. Сейчас мы это не будем рассматривать, а рассмотрим в будущих статьях более подробно. Такая магнитная волна в меж атомном пространстве, начинает деформироваться в сторону протонов. Почему
мы говорим, что деформируется, стоячая магнитная волна ? Радиоактивный атом связан с другими атомами вокруг себя, формируя общую стоячую волну. Но с одним из соседних атомов, происходит нарушение этой магнитной волны. Эта стоячая магнитная волна, где происходит нарушение связей, происходит проникновение стоячей магнитной волны из меж атомного пространства, в пространство атома. Поскольку часть частиц слабо удерживается на своих орбитах и этим вызывает изменение волны. У разных радиоактивных атомов этот процесс будет протекать по разному, все зависит от того, на сколько быстро стоячая магнитная волна из меж атомного пространства, проникнет в атом. В будущем мы эти вопросы рассмотрю более подробно, такие процессы довольно сложно описать. Такая раскачка протонной зоны приведёт к тому, что или получим излучение фотона (гамма фотона), или один из нейтронов потеряет электрон (бета распад). Или к выбиванию элементарных частиц, или их фрагментов (альфа распад, протонный распад и прочее) что приведет к делению радиоактивного атома, и получим два новых атома, с последующим делением, до стабильного состояния атома.
По этой причине радиоактивные элементы будут очень чувствительны к магнитным вспышкам, на Солнце. Именно стоячая магнитная волна в межатомном пространстве, чувствительна к этим вспышкам.

Это краткая информация о делении атома в будущем рассмотрим этот процесс подробнее.

Кто хочет знать действительную физику, а не теоретическую фантастику, подписывайтесь на мой канал.

Читайте наши книги

https://www.litres.ru/evgeniy-alekseevich-/gravitaciya-novaya-paradigma-seriya-fizika-vysokorazv/

https://www.litres.ru/evgeniy-alekseevich-/metodologiya -nauchnyh-issledovaniy-chast1-pochemu-nam/

https://www.litres.ru/evgeniy-alekseevich-/kosmologiya-stanovlenie-i-razvitie-vselennoy-vremya-p/

И ещё одно физическое открытие

http://www.naupri.ru/journal/749



Наука
7 млн интересуются