Найти в Дзене
Математика не для всех

Самые красивые математические формулы (часть 1)

Тождество Эйлера вне конкуренции - его в этом списке не будет
Оглавление

Подписывайтесь на канал в Яндекс. Дзен или на канал в телеграм "Математика не для всех", чтобы не пропустить интересующие Вас материалы. Также есть группы в VK, Одноклассниках и Facebook : всё для математического просвещения!

Приветствую Вас, дорогие Читатели. Одной из самых первых статей на моём блоге бы материал, посвященный самой красивой, по моему мнению, формуле математике - тождеству Эйлера (кто пропустил - читайте здесь). Но, конечно, и без неё есть громадное количество прекрасных формул, о которых невозможно не упомянуть. Поехали!

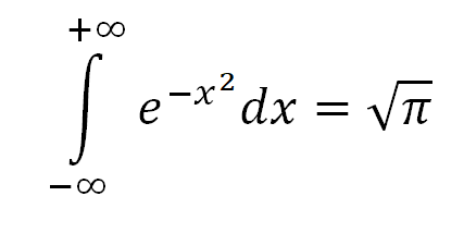
1. Гауссов интеграл (интеграл Эйлера-Пуассона)

-2

Что интересно: этот интеграл придумал не Гаусс, а Эйлер. Позже способ его вычисления нашел Пуассон. Фамилия Гаусса присутствует здесь потому, что этот интеграл от гауссовой функций.

Где применяется: гауссова функция - это функция плотности вероятности нормального распределения - одного из наиболее распространенных в природе и в быту статистических распределений. Ему подчиняются погрешности измерений, характеристики популяций и многое другое.

2. Формулы Рамануджана

И это одна из самых простых
И это одна из самых простых

Что интересно: Сриниваса Рамануджан - это гениальный индийский математик-самоучка. Если речь идёт вообще о каких-либо формулах в математике, обходить его стороной - полнейшее кощунство. И пусть многие из них на практике практически не применяются, от одного только их вида порою волосы встают дыбом!

Источник:https://i2.wp.com/india-art.blog/wp-content/uploads/2018/12/Srinivas-Ramanujan-portrait-painting-by-Dr.-G.-Ambika.jpg?fit=838%2C1000&ssl=1
Источник:https://i2.wp.com/india-art.blog/wp-content/uploads/2018/12/Srinivas-Ramanujan-portrait-painting-by-Dr.-G.-Ambika.jpg?fit=838%2C1000&ssl=1

Где применяется: теория чисел. Просто красиво!

3. Второй замечательный предел

-5

Что интересно: число Эйлера появилось при задаче определения доходности вклада. Пусть, у Вас есть 100 рублей и Вы можете положить их банк под 100% годовых. Тогда в конце года Вы получите 200 рублей. Теперь представьте, что такую операцию, банк проводит два раза в году: тогда Вы получите 225 рублей, если четыре раза в году - примерно 244 рубля. Насколько бы часто Вы не проделывали эту операцию (хоть 365 дней в году) Ваши 100 рублей никогда не превратятся во что-то, большее 272 рублей.

Есть отдельная статья про второй замечательный предел.

Где применяется: тот случай, когда применение настолько широкое, что не знаешь, с чего начать: весь современный математический анализ и любая адекватная физика зиждется на скромном числе 2,718281828459045. Число Эйлера запомнить очень легко: два и семь, два раза год рождения Л.Н. Толстого (1828), углы равнобедренного прямоугольного треугольника (45,90,45).

Хотите еще красоты ? Почитайте про самое удивительное математическое совпадение!

**************************************************************************

Путеводитель по каналу "Математика не для всех"

Спасибо! Надеюсь, было очень интересно и познавательно! Буду рад, если Вы поддержите меня ПОДПИСКОЙ, ЛАЙКОМ или даже критическим комментарием. ССЫЛКА НА ДЗЕН-КАНАЛ и TELEGRAM.

**************************************************************************