Добавить в корзинуПозвонить
Найти в Дзене
Математика не для всех

Нетривиальная система уравнений с 3-мя неизвестными. Без знания формул будет трудно

Подписывайтесь на канал в Яндекс. Дзен или на канал в телеграм "Математика не для всех", чтобы не пропустить интересующие Вас материалы. Также есть группы в VK, Одноклассниках и Facebook : всё для математического просвещения!

На своем канале я уже не раз затрагивал тему решения систем уравнений. Например, в последних публикациях, я раскрывал методы Крамера и Гаусса для решения систем линейных уравнений. Сегодня у нас система нетривиальная, да и к тому же имеющая переменные во второй степени. Поехали!

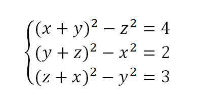
Условие задачи

-2

Обычно такие системы, не лишенные "математической красоты" решаются так же изящно. Этот случай - не исключение.

Размышлять над возможностью выражения одних переменных через другие не приходится, поэтому действуем, как говориться, "в тупую" (любимая цитата моего преподавателя по электронике): складываем все три уравнения и смотрим, что получается:

-3

Последняя строчка - это не что иное, как формула квадрата суммы трех аргументов. Тогда получаем:

-4

Теперь необходимо как-то применить полученное выражение. Для это вспоминаем формулу разности квадратов и записываем уравнения следующим образом:

-5

Теперь решаем две получившихся системы уравнений:

Складываем сначала первые два уравнения, потом второе и третье
Складываем сначала первые два уравнения, потом второе и третье

Во-втором случае получатся полностью противоположные значения переменных:

-7

Таким образом, у данной задачи три составляющих успеха:

  1. знание формулы суммы квадратов трех аргументов;
  2. знание формулы разности квадратов;
  3. не забыть рассмотреть два случая.

**************************************************************************

Путеводитель по каналу "Математика не для всех" - здесь собрано больше 100 статей на самые разнообразные темы: как для новичков, так и для более начитанных математиков! Например, почитайте про 10 математических фактов о русском языке!

Спасибо! Надеюсь, было очень интересно и познавательно! Буду рад, если Вы поддержите меня ПОДПИСКОЙ, ЛАЙКОМ или даже критическим комментарием. ССЫЛКА НА ДЗЕН-КАНАЛ и TELEGRAM.

**************************************************************************