Найти в Дзене
Дважды два

Задача о рукопожатиях

Любую математическую задачку, приводящую к уравнению первой степени можно решить без составления уравнения, используя только логику и смекалку. Совсем другое дело – задачка, приводящая к уравнению второй степени: справиться с такой при помощи арифметики удается редко, даже если она вовсе не сложная. Давайте попытаемся решить одну из таких задач. Условие. После совещания коллеги обменялись рукопожатиями, и кто-то из них посчитал, что рукопожатий было 66. Вопрос. Сколько человек присутствовало на совещании? Решение. Пусть количество человек, присутствующих на совещании, равно x. Тогда каждый из коллег пожал руку (x-1) раз. Из этого следует, что всего было x*(x-1) рукопожатий. Однако нужно принять во внимание, что когда, предположим, Смирнов жмет руку Кузнецову, то и Кузнецов пожимает руку Смирнова. Эти два рукопожатия следует принимать за одно. Исходя из этого, нужно понимать, что число зафиксированных рукопожатий вдвое меньше, чем x*(x-1). Тогда имеем уравнение: Преобразуем до с

Любую математическую задачку, приводящую к уравнению первой степени можно решить без составления уравнения, используя только логику и смекалку. Совсем другое дело – задачка, приводящая к уравнению второй степени: справиться с такой при помощи арифметики удается редко, даже если она вовсе не сложная.

Давайте попытаемся решить одну из таких задач.

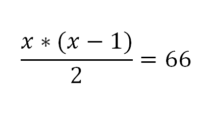
Условие. После совещания коллеги обменялись рукопожатиями, и кто-то из них посчитал, что рукопожатий было 66.

Вопрос. Сколько человек присутствовало на совещании?

Решение. Пусть количество человек, присутствующих на совещании, равно x. Тогда каждый из коллег пожал руку (x-1) раз. Из этого следует, что всего было x*(x-1) рукопожатий. Однако нужно принять во внимание, что когда, предположим, Смирнов жмет руку Кузнецову, то и Кузнецов пожимает руку Смирнова. Эти два рукопожатия следует принимать за одно. Исходя из этого, нужно понимать, что число зафиксированных рукопожатий вдвое меньше, чем x*(x-1).

Тогда имеем уравнение:

-2

Преобразуем до следующего вида:

-3

Вычислим дискриминант:

-4

Определим корни уравнения:

-5

Так как отрицательное решение не представляет реального смысла, мы его отбрасываем. Таким образом, на совещании присутствовало 12 человек.