Добавить в корзинуПозвонить
Найти в Дзене
Ольга Камайкина

Приключения гормонов в крови человека

Доброго времени суток! Это второй пост серии, и сегодня я поговорю про механизмы доставки гормонов и рецепторы. Первая часть здесь. И так: Гормоны вырабатываются в организме железами внутренней секреции. После чего они попадают в кровь, и начинается их долгое и опасное путешествие по организму. Конечная цель всех гормонов, попасть в орган мишень и там соединиться с рецептором. Рецептор это белок или белковый комплекс, который находится на мембране клетки и может связываться с каким либо гормоном. Достаточно часто Вы можете увидеть, например в бланках анализов название гормона и рядом буковку бета. Как пример например при анализе на ХГЧ в бланке анализа стоит б-ХГЧ. Для того, что бы понять и разобраться с этим, давайте посмотрим на два половых гормона, тестостерон и эстрадиол: Если внимательно присмотреться к картинке, то можно заметить, что правая часть обоих гормонов одинаковая. Это условно называемая альфа часть, а левая разная, соответсвенно это бета часть гормона. Рецепторы то

Доброго времени суток! Это второй пост серии, и сегодня я поговорю про механизмы доставки гормонов и рецепторы. Первая часть здесь.

И так: Гормоны вырабатываются в организме железами внутренней секреции. После чего они попадают в кровь, и начинается их долгое и опасное путешествие по организму.

Конечная цель всех гормонов, попасть в орган мишень и там соединиться с рецептором.

Рецептор это белок или белковый комплекс, который находится на мембране клетки и может связываться с каким либо гормоном. Достаточно часто Вы можете увидеть, например в бланках анализов название гормона и рядом буковку бета. Как пример например при анализе на ХГЧ в бланке анализа стоит б-ХГЧ.

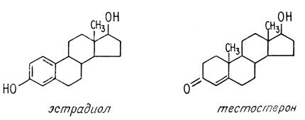
Для того, что бы понять и разобраться с этим, давайте посмотрим на два половых гормона, тестостерон и эстрадиол:

Если внимательно присмотреться к картинке, то можно заметить, что правая часть обоих гормонов одинаковая. Это условно называемая альфа часть, а левая разная, соответсвенно это бета часть гормона.

Рецепторы тоже бывают альфа и бета. Это означает, что бета рецептор отреагирует только строго на "свой" гормон, а альфа рецептор на оба представленных гормона. Например у мужчины в мышцах и костях находятся рецепторы альфа-тестостерона, а в гонадах бета.

Из этого следует интересный вывод для активации половой функции тестостерон нужен, а вот для того, что бы не было остеопороза, и качать мышцы в принципе сойдет и эстрадиол))). Технически это так. Практически конечно мужчинам качаться на оральных контрацептивах не нужно))) будет много интересных побочных эффектов, но если говорить только про "объём бицухи"  то действительно без разницы))))

И у женщин мы говорим про рецепторы альфа-эстрадиола, которым тоже глубоко все равно какой гормон их активирует эстрадиол или тестостерон. Поэтому кстати на женщин культуристок, прекрасно действуют препараты для мужчин, в плане увеличения мышечной массы.

Мы остановились на том, что гормоны выделились в кровь, там хи встречает куча опасностей)))) Самая страшная опасность для гормонов, это печень))) Страшный враг гормонов, она постоянно старается их метаболизировать и вывести из организма в виде никому не нужных отходов. Так же печень вырабатывает два очень интересных белка ГСПГ (Глобулин Связывающий Половые Гормоны) и Альбумин. Задача первого белка не дать гормону дойти до органа мишени. Да, это регулятор уровня гормонов, гормон связанный с ГСПГ становиться не активным и перестает контактировать с рецепторами.

Альбумин белок который в принципе выполняет ту же функцию, но связанные им гормоны, иногда с рецепторами все таки контактируют, так как связь намного более слабая.

При этом ГСПГ связывается не со всеми гормонами, а только с некоторыми, при этом например с тестостероном, он связывается намного более активно, чем с эстрадиолом (хотя связывается и с ним тоже). Полная цепочка предпочтений ГСПГ выглядит следующим образом - "дигидротестостерон->Тестостерон->Андростендиол->Эстрадиол->эстрон->ДГЭА".

Так же ГСПГ может связываться и с гормонами щитовидной железы, но это он делает по остаточному принципу, когда совсем уж больше не с кем.

Есть теория, что уровень ГСПГ показывает биологический возраст печени. И действительно, есть некоторая корреляция между уровнем ГСПГ и возрастом человека. У пациента в 20 лет мы скорее всего увидим 20-25 нг/л у 40 летнего 40-50. НО это пока всего лишь корреляция, а не точно доказанный факт.

Так же гормоны напрямую выводятся через почки с мочой (вспоминаем тест на беременность)))) и половые гормоны могут выходиться из организма с потом, по крайней мере тестостерон, эстрадиол и прогестерон.

Кроме этого гормоны могут разрушаться непосредственно в крови, например никотин попав в кровь, начинает снижать концентрацию гормонов в ней, ну и на печень он тоже действует не лучшим образом (еще один повод бросить курить, ага....).

На этом сегодня я закончу свое повествование. В следующем посте будет описаны приключения гормонов в жировой ткани и непосредственное влияние гормонов на жировую ткань)))

До встречи!