Добавить в корзинуПозвонить
Найти в Дзене

Корень в квадрате. Решаем задание из ОГЭ

Доброго времени суток! Сегодня порешаем довольно простое задание из ОГЭ. Самое главное здесь это избавиться от корня в знаменателе. Но корень из 7 не извлекается, тогда как быть? Вспоминаем свойство, что корень из числа в квадрате дает просто число. И еще одно дополнительное свойство. Подписал коричневым цветом. Квадрат в произведении распространяется на все сомножители. Выходит, что в знаменателе осталось всего лишь 9 умножить на 7. Я специально не стал перемножать, так как заметил, что 7 и 14 может сократиться. Так и сделал. В числителе осталась двойка, а в знаменателе 9. Значит наш ответ по цифрой (2). Если было полезно и интересно, ставьте лайк! Подписывайтесь на канал, впереди много всего интересного! Друзья, спасибо, что читаете и смотрите мои материалы. Скажите как лучше давать информацию? В текстовом или в видео формате? А так же предлагайте темы для следующих публикаций, я всегда учитываю пожелания читателей.

Доброго времени суток!

Сегодня порешаем довольно простое задание из ОГЭ.

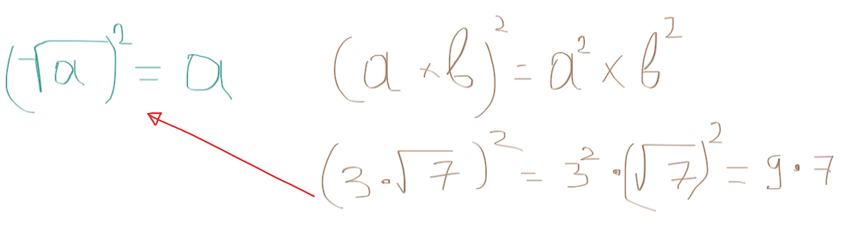
Самое главное здесь это избавиться от корня в знаменателе. Но корень из 7 не извлекается, тогда как быть?

-2

Вспоминаем свойство, что корень из числа в квадрате дает просто число. И еще одно дополнительное свойство. Подписал коричневым цветом. Квадрат в произведении распространяется на все сомножители.

Выходит, что в знаменателе осталось всего лишь 9 умножить на 7. Я специально не стал перемножать, так как заметил, что 7 и 14 может сократиться. Так и сделал.

-3

В числителе осталась двойка, а в знаменателе 9. Значит наш ответ по цифрой (2).

В бланк ответов запишем
В бланк ответов запишем

Если было полезно и интересно, ставьте лайк! Подписывайтесь на канал, впереди много всего интересного!

-5

Друзья, спасибо, что читаете и смотрите мои материалы. Скажите как лучше давать информацию? В текстовом или в видео формате? А так же предлагайте темы для следующих публикаций, я всегда учитываю пожелания читателей.