Добавить в корзинуПозвонить
Найти в Дзене
Блокнот математика

Космические скорости

Давайте разберемся с космическими скоростями: первой и второй. По определению, первая скорость для данного небесного тела --- это скорость тела, которая позволит ему двигаться по орбите, а вторая --- удалиться сколь угодно далеко.
Первая космическая скорость направлена по касательной ...

Давайте разберемся с космическими скоростями: первой и второй. По определению, первая скорость для данного небесного тела --- это скорость тела, которая позволит ему двигаться по орбите, а вторая --- удалиться сколь угодно далеко.

Первая космическая скорость направлена по касательной и недалеко от поверхности --- на высоте, которая мала по сравнению с радиусом планеты. Если тело бросить вверх (перпендикулярно поверхности планеты) с какой угодно скоростью, меньше второй космической --- оно упадет обратно. Вторая космическая скорость может быть направлена куда угодно (от планеты).

Соображения размерности показывают характер зависимости. Скорость может зависеть от g и от R --- а из этих величин можно составить только одну коминацию с размерностью скорости: gR под корнем. А вот безразмерный множитель надо определять.

Итак, пусть тело достаточно высоко, чтобы не мешала атмосфера, но высота все-таки мала по сравнению с радиусом планеты (потом снимем это ограничение). Тело имеет скорость v, направленную по касательной. В отсутствие тяготения тело бы и улетело по касательной, но оно еще и падает, с ускорением g. Нам нужно найти такую скорость, при которой результат этих двух движений приводит к тому, что высота орбиты оставалось постоянной.

К вычислению первой космической скорости.
К вычислению первой космической скорости.

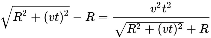
Возьмем малое время t, за которое тело отдалится на расстояние vt и упадет на расстояние 0.5gt^2. Из рисунка видно, что высота тела, на которое оно улетело бы без тяготения --- это гипотенуза треугольника за вычетом радиуса планеты:

-2

На это расстояние должно упасть тело за то же время t, если бы оно только падало. Получаем уравнение

-3

Теперь срабатывает принцип бесконечно-малых. Уравнение не точное, ведь движения происходят одновременно, а не одно за другим. Однако ошибка (которую мы не пишем) мала по сравнению с t, которое само мало. Поделив на t^2 и устремив t к нулю, мы уберем ошибку, получив точное уравнение, из которого определим скорость:

-4

Так, для Земли (g ~ 9.8м/с^2, R~6400 км) эта скорость примерно равна 8 км/с.

А что, если тело далеко от Земли и ускорение свободного падения g уже не такое, как на поверхности? Тогда вспомним, как выражается g через закон всемирного тяготения. Шар притягивает тело вне себя так, как если бы вся масса была в центре шара. Поэтому сила притяжения на поверхности равна

-5

Здесь G --- гравитационная постоянная, M --- масса планеты, R --- радиус, m --- масса тела. На поверхности G, M и R --- константы. Вот их комбинация и есть g. Формула для скорости применима и вдали от Земли --- в качестве R берем расстояние до центра Земли, и все будет.

Теперь разберемся со второй космической скоростью. Тут нужна другая теория. Указанная сила тяготения --- потенциальная, и является градиентом потенциала GMm/r, где r --- расстояние до центра Земли. Закон сохранения энергии утверждает, что изменение потенциальной энергии равно изменению кинетической. Причем траектория тела роли не играет --- изменение энергии зависит только от начальной и конечной точки. Конечную точку поместим в бесконечность --- там потенциальная энергия равна нулю. Начальную --- на поверхность Земли (или совсем близко), получая разность потенциалов (изменение энергии, работа против силы тяготения) GMm/R. Именно такую кинетическую энергию надо сообщить телу, чтобы оно смогло улететь в бесконечность, преодолев гравитацию Земли. Получаем

-6

откуда

-7

То есть, вторая космическая скорость примерно в 1.4 раза больше первой.

В заключение замечу, что попытка определить радиус горизонта событий черной дыры как радиус шара данной массы, для которого вторая космическая скорость равна скорости света, по странному совпадению дает правильный результат, хотя классическая теория гравитации там не действует. Хотя горизонт событий определяется иначе, но об этом --- в другой раз!