Найти в Дзене
Мастерская Бориса

Астрономы доказали 100-летнюю теорию Эйнштейна

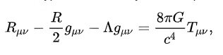
Астрономы 27 лет наблюдали за звездой, в результате чего смогли на практике доказать важнейшую теорию Альберта Эйншейна, которую он сформулировал 105 лет назад. В течение 10 лет с 1907 – 1917 год Альберт Энштейн активно занимался теорией гравитации, единой теорией, которая бы смогла описать принципы взаимодействия различных космических тел во вселенной. В теории гравитации предсказано существование черных дыр и их влияние на пространство-время, описано влияние черных дыр движение планет, звезд и целых галактик. Необходимо отметить, что теория гравитации Эйнштейна лежит в основе современных теорий развития вселенной. Теория гравитации описывается формулой: Международная группа астрономов длительное время вела наблюдение за звездой S2 расположенной на расстоянии 26 000 световых лет от Земли. Особенность этой звезды в том, что она движется по очень вытянутой орбите вокруг, как предполагали ученые, сверхмассивной черной дыры в созвездии Стрельца. Черная дыра получила название Стрелец А и о
Звезда S2
Звезда S2

Астрономы 27 лет наблюдали за звездой, в результате чего смогли на практике доказать важнейшую теорию Альберта Эйншейна, которую он сформулировал 105 лет назад.

В течение 10 лет с 1907 – 1917 год Альберт Энштейн активно занимался теорией гравитации, единой теорией, которая бы смогла описать принципы взаимодействия различных космических тел во вселенной. В теории гравитации предсказано существование черных дыр и их влияние на пространство-время, описано влияние черных дыр движение планет, звезд и целых галактик. Необходимо отметить, что теория гравитации Эйнштейна лежит в основе современных теорий развития вселенной. Теория гравитации описывается формулой:

Уравнение гравитации Эйнштейна
Уравнение гравитации Эйнштейна

Международная группа астрономов длительное время вела наблюдение за звездой S2 расположенной на расстоянии 26 000 световых лет от Земли. Особенность этой звезды в том, что она движется по очень вытянутой орбите вокруг, как предполагали ученые, сверхмассивной черной дыры в созвездии Стрельца. Черная дыра получила название Стрелец А и она является центром нашей галактики (по предположению ученых).

Черная дыра Стрелец А относится к классу сверхмассивных черных дыр с предполагаемой массой около 4,3 миллионов масс нашего Солнца.

прецессия Шварцшильда
прецессия Шварцшильда

В обычных условиях космические объекты, например заезды или планеты двигаются по кольцевым траекториям, постоянно повторяя их, но при наличии, в непосредственной близости, массивного объекта, такого как черная дыра, траектории космических тел смещаются. Именно так произошло с траекторией звезды S2. При том, что звезда двигается по эллиптической орбите с периодом оборота 1 раз в 16 лет, так еще и каждый ее оборот происходит в другом месте пространства относительно стационарных объектов. Получается, что звезда S2 описывала своей траекторией «ромашку», в центре которой черная дыра.

Такое необычное движение, под влиянием черной дыры, называется прецессия Шварцшильда. Этот феномен подтверждает теорию гравитации Эйнштейна.

Сюжет о звезде S2 и ее необычной траектории в сюжете на сайте НьюсАйРу

Пожалуйста подпишитесь на мой канал и поставьте 👍 📢
Я буду знать, что вам интересны новости науки и техники со всего света!