Добавить в корзинуПозвонить
Найти в Дзене
Репетитор Оболтусов

Простое решение сложных систем уравнений в ОГЭ по математике

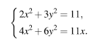
Видео решения всех задач второй части 21-го задания. Системы уравнений. Во второй части ОГЭ по математике в 21 задании попадаются сложные систему уравнения. Ну как сложные, неоднозначные. Видео разбор систем уравнения из задачи 21. Онлайн урок. Несколько способов упростить систему, когда не знаете, что делать: Если ничего не помогло, посмотрите видео разбор =) Подписывайтесь на канал и готовьтесь к ОГЭ дома!

Видео решения всех задач второй части 21-го задания. Системы уравнений.

Подразделы и виды задач второй части
Подразделы и виды задач второй части

Во второй части ОГЭ по математике в 21 задании попадаются сложные систему уравнения. Ну как сложные, неоднозначные.

Видео разбор систем уравнения из задачи 21. Онлайн урок.

Несколько способов упростить систему, когда не знаете, что делать:

  • 1. Сложите два уравнения в одно
  • 2. Вычитайте одно уравнение из другого
  • 3. Соберите полный квадрат
  • 4. Попробуйте выразить х или у
  • 5. Раскройте все скобки

Если ничего не помогло, посмотрите видео разбор =)

Подписывайтесь на канал и готовьтесь к ОГЭ дома!

-3